| ²é¿´: 1340 | »Ø¸´: 1 | ||
lzpskyÒø³æ (СÓÐÃûÆø)
|
[ÇóÖú]
ÇóÄ£Äâßúà±³¬¸ß˹Âö³åµÄmatlab³ÌÐò´úÂë
|
|
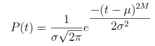
ÇóÖú£ºÄ£ÄâÏÂÃæÈý¸ö¹«Ê½µÄmatlab³ÌÐò´úÂ롣ģÄâµÄÊÇͼ1µÄ¹«Ê½¡£´ïµ½µÄЧ¹ûÀàËÆÓÚͼ4.¸Õ¸Õ½Ó´¥matlab£¬»¹²»»á¡£ÎÒҪģÄâµÄßúà±³¬¸ß˹Âö³åµÄÎÄÏ×Ò²·Åµ½¸½¼þÀïÁË£¬ÔÚµÚ°ËÕ¡£Ð»Ð»¡£ 1.PNG 2.PNG 3.PNG 4.PNG 5.PNG |
» ±¾Ìû¸½¼þ×ÊÔ´Áбí
-
»¶Ó¼à¶½ºÍ·´À¡£ºÐ¡Ä¾³æ½öÌṩ½»Á÷ƽ̨£¬²»¶Ô¸ÃÄÚÈݸºÔð¡£
±¾ÄÚÈÝÓÉÓû§×ÔÖ÷·¢²¼£¬Èç¹ûÆäÄÚÈÝÉæ¼°µ½ÖªÊ¶²úȨÎÊÌ⣬ÆäÔðÈÎÔÚÓÚÓû§±¾ÈË£¬Èç¶Ô°æÈ¨ÓÐÒìÒ飬ÇëÁªÏµÓÊÏ䣺xiaomuchong@tal.com - ¸½¼þ 1 : 4444.pdf
2015-05-14 10:35:43, 4.12 M
» ²ÂÄãϲ»¶
»ùÓÚ»ùÔªIͳһÀíÂÛµÄÁ¿×ÓÁ¦Ñ§±¾Ô´ÍƵ¼
ÒѾÓÐ1È˻ظ´
ÍÆ¼öÒ»¿î¿ÉÒÔAI¸¨Öúд×÷µÄLatex±à¼Æ÷SmartLatexEditor£¬³¬¼¶ºÃÓã¬AIÈóÉ«£¬È«Ãâ·Ñ
ÒѾÓÐ20È˻ظ´
ÎïÀíѧIÂÛÎÄÈóÉ«/·ÒëÔõôÊÕ·Ñ?
ÒѾÓÐ244È˻ظ´
¡¾EI|Scopus Ë«¼ìË÷¡¿µÚÁù½ìÖÇÄÜ»úÆ÷ÈËϵͳ¹ú¼Ê»áÒ飨ISoIRS 2026£©
ÒѾÓÐ1È˻ظ´
2026ÄêµÚËĽìµç¶¯³µÓë³µÁ¾¹¤³Ì¹ú¼Ê»áÒ飨CEVVE 2026£©
ÒѾÓÐ0È˻ظ´
» ±¾Ö÷ÌâÏà¹Ø¼ÛÖµÌùÍÆ¼ö£¬¶ÔÄúͬÑùÓаïÖú:
ÈçºÎÓÃMATLABÇó½âÂö³å΢·Ö·½³Ì²¢»Í¼
ÒѾÓÐ5È˻ظ´
2Â¥2015-05-15 10:37:19













»Ø¸´´ËÂ¥