| ²é¿´: 865 | »Ø¸´: 0 | ||
suiwwгæ (СÓÐÃûÆø)
|
[ÇóÖú]
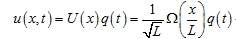
»úеÕñ¶¯ÕñÐͺ¯Êý¹éÒ»»¯
|
|
ÁºµÄ×ø±ê¹éÒ»»¯ºó£¬ÕñÐͺ¯ÊýÈçºÎ±ä»¯¡£¼´£¬Áº±äÐÎÁ¿u£¬U(x)ÊÇÕñÐͺ¯Êý£¬¦¸ÊÇ×ø±êÎÞÁ¿¸Ù»¯ºóµÄÕñÐͺ¯Êý£¬¦¸ºÍUÊÇʲôÑùµÄ¹ØÏµÄØ 1.jpg |
» ²ÂÄãϲ»¶
290Çóµ÷¼Á
ÒѾÓÐ7È˻ظ´
µçÆø×¨Ë¶320Çóµ÷¼Á
ÒѾÓÐ5È˻ظ´
Ò»Ö¾Ô¸Î÷±±¹¤Òµ´óѧ289 085602
ÒѾÓÐ33È˻ظ´
Ò»Ö¾Ô¸¹þ¹¤´ó 085600 277 12²Ä¿Æ»ùÇóµ÷¼Á
ÒѾÓÐ24È˻ظ´
268·Ö085602»¯Ñ§¹¤³Ìµ÷¼Á
ÒѾÓÐ28È˻ظ´
»¯Ñ§¹¤³Ìµ÷¼Á289
ÒѾÓÐ50È˻ظ´
Çóµ÷¼Á£¬262»úеר˶
ÒѾÓÐ8È˻ظ´
305Çóµ÷¼Á
ÒѾÓÐ6È˻ظ´
327Çóµ÷¼Á
ÒѾÓÐ5È˻ظ´
347Çóµ÷¼Á
ÒѾÓÐ4È˻ظ´
ÕÒµ½Ò»Ð©Ïà¹ØµÄ¾«»ªÌû×Ó£¬Ï£ÍûÓÐÓÃŶ~
ÐýתÁºµÄµÚһģ̬×ÔȻƵÂʺ͵ڶþģ̬×ÔȻƵÂÊÓйØÎÊÌâ
ÒѾÓÐ3È˻ظ´
Ϊʲôansys×ÔÓÉģ̬ÏÂǰ6½×ΪÐéÄâģ̬£¿
ÒѾÓÐ8È˻ظ´
ansysģ̬·ÖÎö£¬Çó¹ÌÓÐÆµÂÊ¡£
ÒѾÓÐ17È˻ظ´
workbench½øÐÐģ̬·ÖÎöʱÈçºÎ½øÐÐÕñÐ͹éÒ»»¯ÉèÖÃ
ÒѾÓÐ4È˻ظ´
MATLAB ÊäÈëÊä³öÊý¾Ý¹éÒ»»¯ÎÊÌâ
ÒѾÓÐ5È˻ظ´
¡¾ÇóÖú¡¿¹éÒ»»¯ºÍ½µÎ¬Ë³Ðò
ÒѾÓÐ6È˻ظ´
¿ÆÑдÓСľ³æ¿ªÊ¼£¬ÈËÈËΪÎÒ£¬ÎÒΪÈËÈË













»Ø¸´´ËÂ¥
µã»÷ÕâÀïËÑË÷¸ü¶àÏà¹Ø×ÊÔ´
5