| 查看: 784 | 回复: 1 | ||
[求助]
锌铝涂层EIS测试中频出现乱点求大神解答
|
|
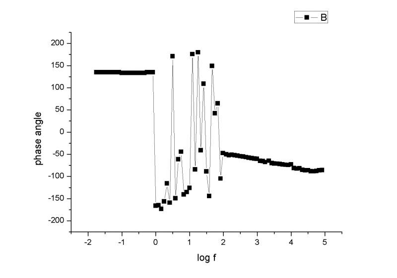
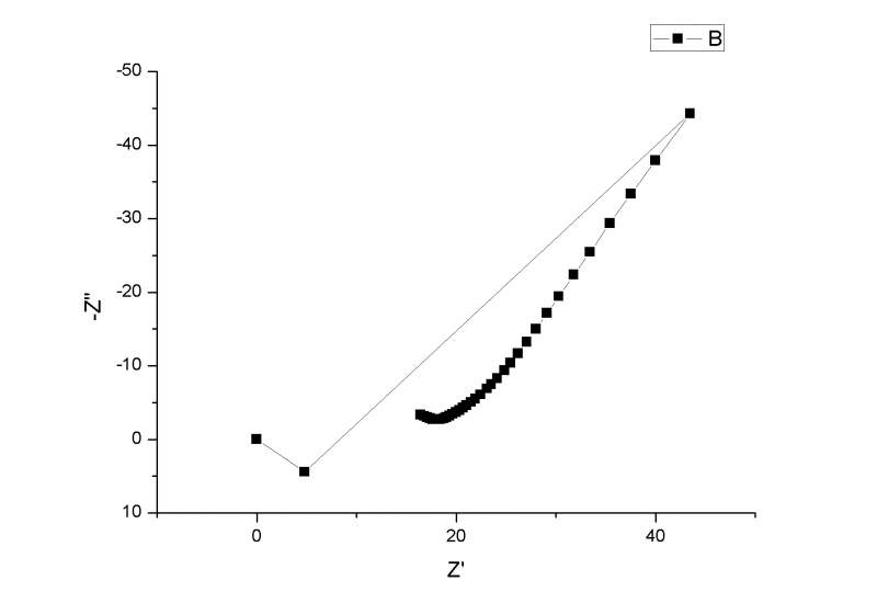
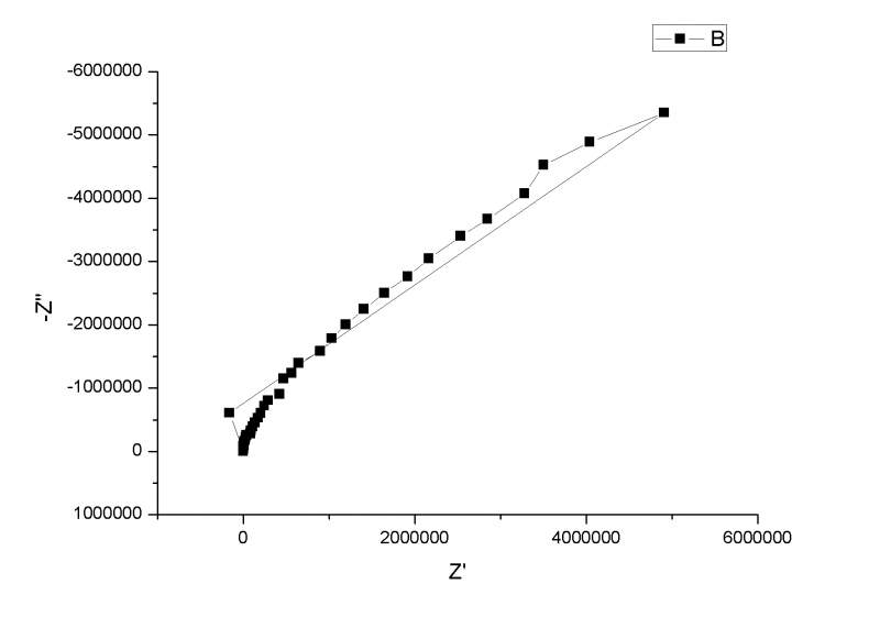
我做的是水性无铬锌铝涂层,电极用AB胶封装,电解液3.5%NaCl,用的是辰华工作站。图1、2是我测得EIS,图3是别人做的相同涂层的测试结果。请问有谁知道我测得结果为什么差别那么大?其中图2是加了纳米颗粒的,图1没有。 图2Bode.jpg 图2Nyquist.jpg 图1Bode_看图王.jpg 图1Nyquist.jpg 图3Bode.jpg 图3Nyquist.jpg |
» 猜你喜欢
锂离子电池循环寿命衰减过快,求机理分析与改进思路
已经有2人回复
求博导收留
已经有6人回复
物理化学论文润色/翻译怎么收费?
已经有111人回复
CSC & MSCA 博洛尼亚大学能源材料课题组博士/博士后招生|MSCA经费充足、排名优
已经有6人回复
德国Karlsruhe Institute of Technology招收电化学储能及联合培养CSC博士等
已经有20人回复
德国Karlsruhe Institute of Technology招收电化学储能及联合培养CSC博士
已经有24人回复
德国Karlsruhe Institute of Technology招收电化学储能及联合培养CSC博士
已经有1人回复
固态锂金属电池迁移数计算求助
已经有1人回复
荷兰奈梅亨大学赵文博与Galimberti课题组招收理论计算CSC博士 2000 欧元/月+房补
已经有0人回复
26储能博士申请自荐
已经有22人回复
上海交通大学--宁波东方理工大学电池方向博士招生
已经有10人回复
» 本主题相关商家推荐: (我也要在这里推广)
» 本主题相关价值贴推荐,对您同样有帮助:
使用EC-lab测试EIS,请教大神,如何连接和设置?
已经有3人回复
电化学测试的屏蔽箱使用
已经有35人回复
2楼2015-05-13 10:45:01













回复此楼