| 查看: 548 | 回复: 0 | |
寒月奢求至尊木虫 (著名写手)
|
[求助]
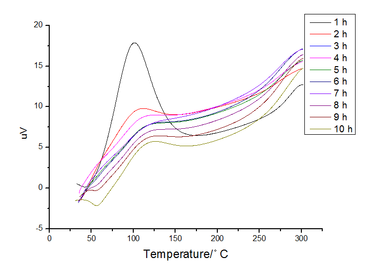
求各路大神帮忙看下环氧树脂的DTA曲线,能看出玻璃化转变温度吗?
|
|
|
|
|
找到一些相关的精华帖子,希望有用哦~
科研从小木虫开始,人人为我,我为人人
|














回复此楼
点击这里搜索更多相关资源