| 查看: 1621 | 回复: 2 | |
woshilsh荣誉版主 (职业作家)
|
[求助]
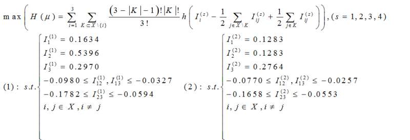
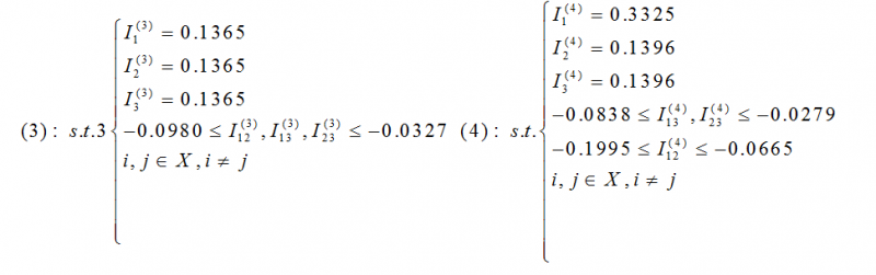
用Matlab求解有约束的最优化问题
|
![]() |
|
|
|
|
woshilsh荣誉版主 (职业作家)
|
|
![]() |
|
|
2楼2015-05-04 20:34:38
|
|
woshilsh荣誉版主 (职业作家)
|
|
![]() |
|
|
3楼2015-05-08 10:50:36
|
|













回复此楼