版块导航
正在加载中...
客户端APP下载
论文辅导
调剂小程序
登录
注册
帖子
帖子
用户
本版
应《网络安全法》要求,自2017年10月1日起,未进行实名认证将不得使用互联网跟帖服务。为保障您的帐号能够正常使用,请尽快对帐号进行手机号验证,感谢您的理解与支持!
24小时热门版块排行榜
>
论坛更新日志
(2031)
>
虫友互识
(290)
>
导师招生
(44)
>
文献求助
(37)
>
论文投稿
(27)
>
休闲灌水
(20)
>
博后之家
(16)
>
考研
(15)
>
基金申请
(14)
>
考博
(10)
>
药学
(10)
>
教师之家
(9)
>
硕博家园
(9)
>
找工作
(7)
>
招聘信息布告栏
(6)
>
公派出国
(6)
小木虫论坛-学术科研互动平台
»
化学化工区
»
电化学
»
电化学传感器
»
无酶葡萄糖传感器i-t图
21
1/3
返回列表
1
2
3
下一页
查看: 1387 | 回复: 20
只看楼主
@他人
存档
新回复提醒
(忽略)
收藏
在APP中查看
︶ㄣ緈諨﹎
木虫
(小有名气)
应助: 1
(幼儿园)
金币: 1545.6
散金: 6
红花: 2
帖子: 81
在线: 76.3小时
虫号: 3020699
注册: 2014-03-05
性别:
MM
专业: 应用有机化学
[交流]
无酶葡萄糖传感器i-t图
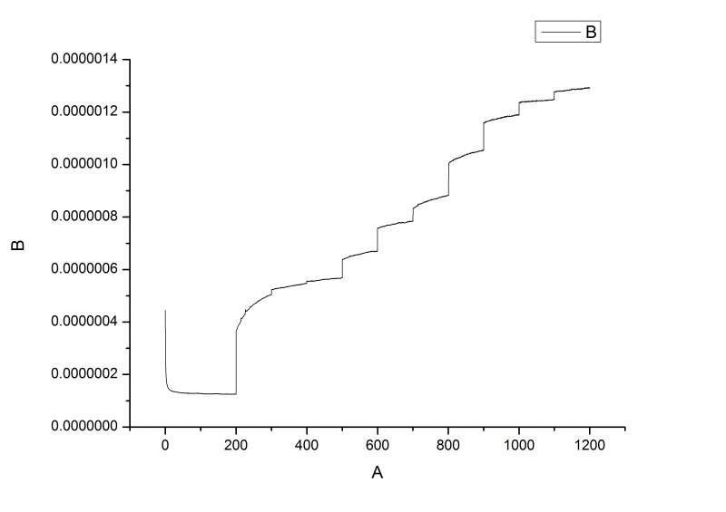
大家好,我大四毕业设计做的是无酶葡萄糖传感器,测定出来的i-t图是这样的,
Graph3.jpg
Graph5.jpg
回复此楼
» 猜你喜欢
锂离子电池循环寿命衰减过快,求机理分析与改进思路
已经有2人回复
求博导收留
已经有6人回复
物理化学论文润色/翻译怎么收费?
已经有64人回复
CSC & MSCA 博洛尼亚大学能源材料课题组博士/博士后招生|MSCA经费充足、排名优
已经有6人回复
德国Karlsruhe Institute of Technology招收电化学储能及联合培养CSC博士等
已经有20人回复
德国Karlsruhe Institute of Technology招收电化学储能及联合培养CSC博士
已经有24人回复
德国Karlsruhe Institute of Technology招收电化学储能及联合培养CSC博士
已经有1人回复
固态锂金属电池迁移数计算求助
已经有1人回复
荷兰奈梅亨大学赵文博与Galimberti课题组招收理论计算CSC博士 2000 欧元/月+房补
已经有0人回复
26储能博士申请自荐
已经有22人回复
上海交通大学--宁波东方理工大学电池方向博士招生
已经有10人回复
高级回复
» 本主题相关价值贴推荐,对您同样有帮助:
无酶葡萄糖传感器的电极面积计算
已经有5人回复
过氧化氢电化学传感器
已经有3人回复
电化学传感器的灵敏度
已经有4人回复
有个关于第三代葡萄糖传感器的问题困惑我好久了
已经有5人回复
为什么不使用酶,就叫无酶传感器,难道传感器只分为酶传感器和无酶传感器?
已经有8人回复
电流时间法测葡萄糖得不到阶梯曲线
已经有8人回复
葡萄糖的i-t阶梯曲线问题
已经有3人回复
时间电流i-t曲线与CV 的关系
已经有11人回复
酶传感器检测葡萄糖,怎么样出峰啊
已经有6人回复
无酶葡萄糖传感器的进展
已经有21人回复
i-t曲线异常现象
已经有6人回复
做电流-时间曲线时如何做出阶梯现状的图
已经有15人回复
无酶葡萄糖传感器
已经有5人回复
关于葡萄糖氧化阶梯曲线的一些疑问
已经有22人回复
葡萄糖电化学传感器的疑问。
已经有9人回复
有关第三代葡萄糖生物传感器的询问
已经有14人回复
无酶葡萄糖传感器之i-t曲线
已经有8人回复
葡萄糖非酶传感器中Ni的稳定性问题
已经有3人回复
keithley 2400 如何测试I-t曲线
已经有5人回复
i-t曲线如何设置
已经有8人回复
无酶过氧化氢传感器
已经有5人回复
【求助/交流】麻烦各位:关于β-葡萄糖苷酶与β-葡萄糖酶的区别及售价问题
已经有8人回复
1楼
2015-05-01 18:19:36
已阅
回复此楼
关注TA
给TA发消息
送TA红花
TA的回帖
︶ㄣ緈諨﹎
木虫
(小有名气)
应助: 1
(幼儿园)
金币: 1545.6
散金: 6
红花: 2
帖子: 81
在线: 76.3小时
虫号: 3020699
注册: 2014-03-05
性别:
MM
专业: 应用有机化学
请问为什么没有稳定的电流呢?求解
赞
一下
回复此楼
2楼
2015-05-01 18:20:12
已阅
回复此楼
关注TA
给TA发消息
送TA红花
TA的回帖
dmbb
★
︶ㄣ緈諨﹎(金币+1): 谢谢参与
3楼
2015-05-01 18:28:41
已阅
回复此楼
关注TA
给TA发消息
送TA红花
TA的回帖
tzynew
★
︶ㄣ緈諨﹎(金币+1): 谢谢参与
4楼
2015-05-01 18:30:40
已阅
回复此楼
关注TA
给TA发消息
送TA红花
TA的回帖
xiejf
★
︶ㄣ緈諨﹎(金币+1): 谢谢参与
?
5楼
2015-05-01 18:33:22
已阅
回复此楼
关注TA
给TA发消息
送TA红花
TA的回帖
cxjzly2008
★
︶ㄣ緈諨﹎(金币+1): 谢谢参与
6楼
2015-05-01 18:35:38
已阅
回复此楼
关注TA
给TA发消息
送TA红花
TA的回帖
jixiangbao
★
︶ㄣ緈諨﹎(金币+1): 谢谢参与
7楼
2015-05-01 18:39:08
已阅
回复此楼
关注TA
给TA发消息
送TA红花
TA的回帖
lingxu1300
★
︶ㄣ緈諨﹎(金币+1): 谢谢参与
8楼
2015-05-01 18:52:13
已阅
回复此楼
关注TA
给TA发消息
送TA红花
TA的回帖
lingxu1300
9楼
2015-05-01 18:53:44
已阅
回复此楼
关注TA
给TA发消息
送TA红花
TA的回帖
messengermu
10楼
2015-05-01 19:23:24
已阅
回复此楼
关注TA
给TA发消息
送TA红花
TA的回帖
相关版块跳转
有机交流
有机资源
高分子
无机/物化
分析
催化
工艺技术
化工设备
石油化工
精细化工
电化学
环境
SciFinder/Reaxys
我要订阅楼主
︶ㄣ緈諨﹎
的主题更新
21
1/3
返回列表
1
2
3
下一页
如果回帖内容含有宣传信息,请如实选中。否则帐号将被全论坛禁言
普通表情
龙
兔
虎
猫
高级回复
(可上传附件)
百度网盘
|
360云盘
|
千易网盘
|
华为网盘
在新窗口页面中打开自己喜欢的网盘网站,将文件上传后,然后将下载链接复制到帖子内容中就可以了。
信息提示
关闭
请填处理意见
关闭
确定