| 查看: 366 | 回复: 2 | |||
醉美大夕阳木虫 (小有名气)
钻石
|
[交流]
求助 关于roberts 摩擦因素公式的参数问题
|
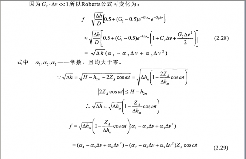
| Roberts 摩擦系数公式中的G1,G2怎么计算?? |
» 本帖附件资源列表
-
欢迎监督和反馈:小木虫仅提供交流平台,不对该内容负责。
本内容由用户自主发布,如果其内容涉及到知识产权问题,其责任在于用户本人,如对版权有异议,请联系邮箱:xiaomuchong@tal.com - 附件 1 : moca.png
- 附件 2 : 摩擦.png
2015-04-28 21:17:11, 40.64 K
2015-04-28 21:17:11, 21.02 K
» 猜你喜欢
售SCI一区文章,我:8 O5 51O 54,科目齐全
已经有3人回复
售SCI一区文章,我:8 O5 51O 54,科目齐全
已经有3人回复
售SCI一区文章,我:8 O5 51O 54,科目齐全
已经有4人回复
售SCI一区文章,我:8 O5 51O 54,科目齐全
已经有3人回复
售SCI一区文章,我:8 O5 51O 54,科目齐全
已经有5人回复
售SCI一区文章,我:8 O5 51O 54,科目齐全
已经有5人回复
售SCI一区文章,我:8 O5 51O 54,科目齐全
已经有5人回复
售SCI一区文章,我:8 O5 51O 54,科目齐全
已经有6人回复
售SCI一区文章,我:8 O5 51O 54,科目齐全
已经有6人回复
售SCI一区文章,我:8 O5 51O 54,科目齐全
已经有6人回复
» 本主题相关价值贴推荐,对您同样有帮助:
请教一下关于欧拉摩擦理论公式
已经有5人回复
醉美大夕阳
木虫 (小有名气)
钻石
- 应助: 1 (幼儿园)
- 金币: 2715.3
- 散金: 132
- 红花: 1
- 帖子: 66
- 在线: 75小时
- 虫号: 3746048
- 注册: 2015-03-17
- 性别: GG
- 专业: 动力学与控制
2楼2015-04-28 21:22:17
醉美大夕阳
木虫 (小有名气)
钻石
- 应助: 1 (幼儿园)
- 金币: 2715.3
- 散金: 132
- 红花: 1
- 帖子: 66
- 在线: 75小时
- 虫号: 3746048
- 注册: 2015-03-17
- 性别: GG
- 专业: 动力学与控制
3楼2015-04-28 21:25:44













回复此楼
10