版块导航
正在加载中...
客户端APP下载
论文辅导
申博辅导
登录
注册
帖子
帖子
用户
本版
应《网络安全法》要求,自2017年10月1日起,未进行实名认证将不得使用互联网跟帖服务。为保障您的帐号能够正常使用,请尽快对帐号进行手机号验证,感谢您的理解与支持!
24小时热门版块排行榜
>
论坛更新日志
(3774)
>
文献求助
(421)
>
虫友互识
(403)
>
导师招生
(280)
>
考博
(114)
>
招聘信息布告栏
(93)
>
论文投稿
(91)
>
休闲灌水
(84)
>
硕博家园
(80)
>
博后之家
(77)
>
绿色求助(高悬赏)
(49)
>
考研
(37)
>
SciFinder/Reaxys
(34)
>
基金申请
(33)
>
外文书籍求助
(27)
>
科研资料
(25)
小木虫论坛-学术科研互动平台
»
专业学科区
»
数学
»
计算数学
»
该算法怎么理解
2
1/1
返回列表
查看: 498 | 回复: 1
只看楼主
@他人
存档
新回复提醒
(忽略)
收藏
在APP中查看
duinichixin
金虫
(著名写手)
应助: 1
(幼儿园)
金币: 892
散金: 596
红花: 4
帖子: 1009
在线: 338.5小时
虫号: 2475163
注册: 2013-05-18
性别: GG
专业: 计算数学与科学工程计算
[
求助
]
该算法怎么理解
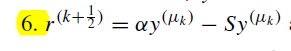
请问下面lhss算法中第6式怎么理解呢?按第三张图片ihss的过程r^(k+1/2)可以看成r^(k+1/2)=b-Ax^(k+1/2)吗?
1.png
2.png
3.png
回复此楼
» 猜你喜欢
实验室接单子
已经有4人回复
全日制(定向)博士
已经有4人回复
假如你的研究生提出不合理要求
已经有6人回复
对氯苯硼酸纯化
已经有3人回复
求助:我三月中下旬出站,青基依托单位怎么办?
已经有12人回复
不自信的我
已经有12人回复
所感
已经有4人回复
要不要辞职读博?
已经有7人回复
北核录用
已经有3人回复
26申博(荧光探针方向,有机合成)
已经有4人回复
» 本主题相关价值贴推荐,对您同样有帮助:
HPLC外标法计算含量的公式如何理解
已经有12人回复
水力滞留时间HRT到底该怎么计算?
已经有4人回复
怎么样去计算物质的表面能?
已经有5人回复
能通俗的解释一下启发式算法吗
已经有22人回复
这个极限怎么计算
已经有5人回复
k-means算法的相关问题
已经有11人回复
关于单点能的计算目的,以及如何计算
已经有13人回复
计算graphene的问题
已经有10人回复
再现别人算法的结果与其已发表论文结果不一致怎么办?
已经有13人回复
在MD中 flying ice cube 怎么理解?
已经有7人回复
计算二维材料的能带,高对称点应该怎么选?
已经有8人回复
请问h-index怎么个算法?
已经有3人回复
请教LSDA+U计算的问题
已经有24人回复
一直没怎么接触过算法,如何实现算法改进。
已经有4人回复
三方晶体的晶胞体积怎么计算?应该有公式的吧?
已经有13人回复
有一门课只分合格和不合格,该怎么计算GPA?
已经有10人回复
【求助】如何从统计学角度解释此现象?
已经有13人回复
28个不得不看的经典编程算法!!
已经有34人回复
ESI-HRMS中理论值【M+H】怎么计算?
已经有3人回复
辉煌在拼搏之后
1楼
2015-04-22 15:20:47
已阅
回复此楼
关注TA
给TA发消息
送TA红花
TA的回帖
feixiaolin
荣誉版主
(文坛精英)
专家经验: +518
应助: 942
(博后)
贵宾: 1.275
金币: 3430
散金: 58785
红花: 532
沙发: 11
帖子: 24215
在线: 2601.8小时
虫号: 2139575
注册: 2012-11-21
专业: 光学信息获取与处理
管辖:
数学
http://www.doc88.com/p-3773711672062.html
赞
一下
回复此楼
2楼
2015-04-24 07:04:35
已阅
回复此楼
关注TA
给TA发消息
送TA红花
TA的回帖
相关版块跳转
数理科学综合
机械
物理
数学
农林
食品
地学
能源
信息科学
土木建筑
航空航天
转基因
我要订阅楼主
duinichixin
的主题更新
2
1/1
返回列表
如果回帖内容含有宣传信息,请如实选中。否则帐号将被全论坛禁言
普通表情
龙
兔
虎
猫
百度网盘
|
360云盘
|
千易网盘
|
华为网盘
在新窗口页面中打开自己喜欢的网盘网站,将文件上传后,然后将下载链接复制到帖子内容中就可以了。
信息提示
关闭
请填处理意见
关闭
确定