| 查看: 1075 | 回复: 1 | |
[求助]
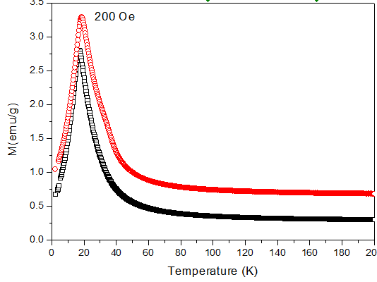
非晶合金磁热曲线分析 已有1人参与
|
|
|
|
|
奋斗2010新虫 (小有名气)
|
|
|
2楼2015-04-24 11:18:44
|
|













回复此楼