| 查看: 420 | 回复: 0 | ||
[求助]
测量肌酸结晶在水溶液中的粒度分布,需要粒度分析仪软件中需要两个重要参数,急求!
|
|
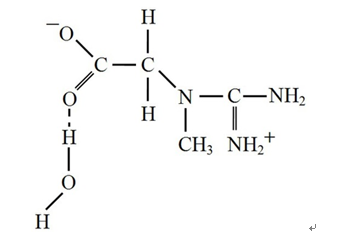
如题,我想要测量肌酸结晶在水溶液中的粒度分布,采用湿法检测,激光粒度分析仪软件中需要两个重要参数RI(折射率),Absorption(吸收率)其中我的溶剂环境是水,望得到帮助! 肌酸creatine(一水肌酸Creatine monohydrate) 2.png |
» 猜你喜欢
中南大学易小艺课题组诚招2026申请-考核制博士生
已经有0人回复
海南师范大学招收化学博士(光电功能材料课题组招收博士研究生)
已经有11人回复
无机化学论文润色/翻译怎么收费?
已经有109人回复
求助几个团簇的cif
已经有0人回复
急求该反应的详细机理
已经有5人回复
【Ei | Scopus 双检索】2026年智能交通与未来出行国际会议(CSTFM 2026)
已经有0人回复
【EI|Scopus 双检索】2026年第六届机器人与人工智能国际会议(JCRAI 2026)
已经有0人回复
zotero的advanced material模板没有更新,有人有新版的cls文件吗
已经有2人回复
【高校联合举办】2026年第五届服务机器人国际会议(ICoSR 2026)
已经有0人回复













回复此楼