| 查看: 1100 | 回复: 2 | ||
tangming0512铁虫 (小有名气)
|
[交流]
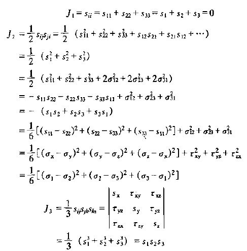
陈惠发——弹性与塑性力学疑问
|
» 本主题相关价值贴推荐,对您同样有帮助:
请教牛校的岩土博士:你们的《岩土塑性力学》用哪本教材?
已经有12人回复
弹塑性力学试题求大神帮忙
已经有11人回复
清华土木系的兄弟姐妹们,你们专业课考的咋样?来交流下
已经有8人回复
弹性力学及有限元的好教材
已经有12人回复
弹塑性力学资料
已经有84人回复
如何学好弹塑性力学
已经有24人回复
【课件】弹性力学
已经有145人回复
陈惠发《弹性与塑性力学》中文版
已经有535人回复
【求助】跪求 化工机械基础 第二版 答案
已经有6人回复
【求助】塑性与弹性势函数
已经有5人回复
【求助】最经典的弹性力学书是哪本
已经有21人回复
国内第一学渣
金虫 (著名写手)
- 应助: 13 (小学生)
- 金币: 10640.4
- 散金: 474
- 红花: 8
- 帖子: 2024
- 在线: 86.9小时
- 虫号: 3089478
- 注册: 2014-03-26
- 性别: GG
- 专业: 极端条件下使用的金属材料
2楼2015-04-11 18:59:56
★
小木虫: 金币+0.5, 给个红包,谢谢回帖
小木虫: 金币+0.5, 给个红包,谢谢回帖
|
本帖内容被屏蔽 |
3楼2015-04-18 22:36:22













回复此楼
10