| 查看: 373 | 回复: 0 | ||
[求助]
二能级原子量子纠缠
|
|
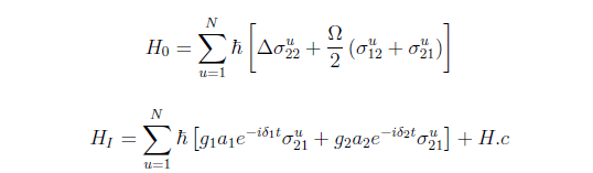
跪求二能级原子系统量子纠缠的程序,模型和主方程已经给出。希望牛人相助,谢谢! ]%5_5UY{4X@~1IK)Y77F[K7.png `6)4WRP6LVSSN[R35LKSCRG.jpg JX9Q3LT~$GPPU`{QFH{$5S6.jpg |
» 猜你喜欢
导师想让我从独立一作变成了共一第一
已经有9人回复
博士读完未来一定会好吗
已经有23人回复
到新单位后,换了新的研究方向,没有团队,持续积累2区以上论文,能申请到面上吗
已经有11人回复
读博
已经有4人回复
JMPT 期刊投稿流程
已经有4人回复
心脉受损
已经有5人回复
Springer期刊投稿求助
已经有4人回复
小论文投稿
已经有3人回复
申请2026年博士
已经有6人回复

找到一些相关的精华帖子,希望有用哦~
Fe基态原子或晶胞的轨道能级具体数值
已经有5人回复
vasp中如何得到原子个轨道的能级
已经有5人回复
在哪里能找到氮原子跃迁能级图
已经有4人回复
中性单原子计算的能级与磁性,如何理解(ISPIN=2 vs 1)
已经有10人回复
请问如何判断能带结构图中某单根能级是由哪些原子上的电子态贡献的?
已经有9人回复
元素原子能级在哪里查找
已经有9人回复
如何计算原子轨道能级?希望大家给以指导,谢谢
已经有3人回复
关于原子费米能级的概念
已经有6人回复
原子核物理; 第一激发能级;
已经有12人回复
弱弱的问个问题,在原子物理中,常说粒子从低能级跃迁到高能级,这个粒子到底是什么?
已经有25人回复
求助:谁有计算双原子分子能级跃迁Franck-condon因子的程序,最好是fortran的,谢谢!
已经有8人回复
双原子或三原子小分子的激发态能级和结构的database
已经有3人回复
科研从小木虫开始,人人为我,我为人人













回复此楼
点击这里搜索更多相关资源