| 查看: 259 | 回复: 0 | ||
[求助]
求大家给看看,这应该是没磁性吧?
|
|
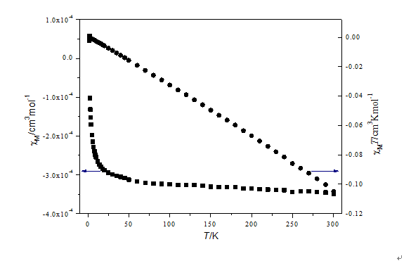
做了一个稀土镧元素的配合物的晶体 测了磁性,这是得到的结果,应该是没有磁性吧? 可是因为是新手,不知道该怎么分析一下,请大家帮我具体的分析分析。尤其是关于外层电子排布方面的分析。。。 谢谢。。 ![]() ![]() SH)KI9D`SS]01@040DVILWW.png |
» 本帖附件资源列表
-
欢迎监督和反馈:小木虫仅提供交流平台,不对该内容负责。
本内容由用户自主发布,如果其内容涉及到知识产权问题,其责任在于用户本人,如对版权有异议,请联系邮箱:xiaomuchong@tal.com - 附件 1 : 新建_Microsoft_Office_Word_2007_文档.docx
2015-04-03 12:39:32, 47.21 K
» 猜你喜欢
评审有感
已经有24人回复
云南大学材料与能源学院解琳课题组钙钛矿博士招生
已经有6人回复
反应很差,大量原料没有反应
已经有8人回复
面上本子正文33页,违规吗?会被低分嘛?
已经有13人回复
提交了我也来说说感想
已经有6人回复
Sci. Bull. 悲剧经验
已经有7人回复
今年审到国自然15份,谈谈感受
已经有20人回复
国自然评分
已经有4人回复
如果工作了想读博,可以边工作边读全日制嘛?
已经有5人回复
如何实现卤原子转化
已经有8人回复
找到一些相关的精华帖子,希望有用哦~
求高手解析核磁
已经有25人回复
求助大家帮我看看这句话是什么意思,审稿人要求修改图片
已经有19人回复
求助各位:套磁信回复如下,是拒绝了吗?
已经有16人回复
在origin中如何扣除磁滞回线中的顺磁背景,求具体步骤!
已经有16人回复
求大神给我看看这个反应咋没反应
已经有4人回复
我该怎么回复呢?求求大家帮忙看看
已经有21人回复
联培套磁回复率好低是什么原因!求助大家!
已经有18人回复
求助磁滞回线分析,急!!!
已经有3人回复
已有核磁图,但有一个峰不知是什么,求高手帮忙,谢谢!
已经有17人回复
求助有关磁滞回线出现直线的现象
已经有9人回复
求一个磁性曲线分析
已经有6人回复
磁性分析得到的常温磁滞回线,有些反常,求牛人帮给分析下
已经有17人回复
由磁化曲线和磁滞回线获得磁参数的基本问题,求教!
已经有39人回复
【求助】请问VASP计算,顺磁性和无磁性的设置有什么区别?
已经有10人回复
【求助】磁滞回线的分析
已经有8人回复
【求助】请做磁性材料的大侠们帮我看看这个磁滞回线
已经有12人回复
【求助】请各位帮忙分析下磁性分析
已经有10人回复
【求助】请各位帮忙看下磁性?
已经有10人回复
【求助】关于剩磁和矫顽力
已经有19人回复
【求助】有没有谁做过Fe的磁性计算的?
已经有5人回复
【求助】大家有没遇到加于不加磁性优化结果相差很大
已经有6人回复
科研从小木虫开始,人人为我,我为人人













回复此楼
点击这里搜索更多相关资源
5