| 查看: 2983 | 回复: 4 | |
napxy木虫 (著名写手)
|
[求助]
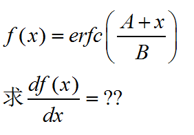
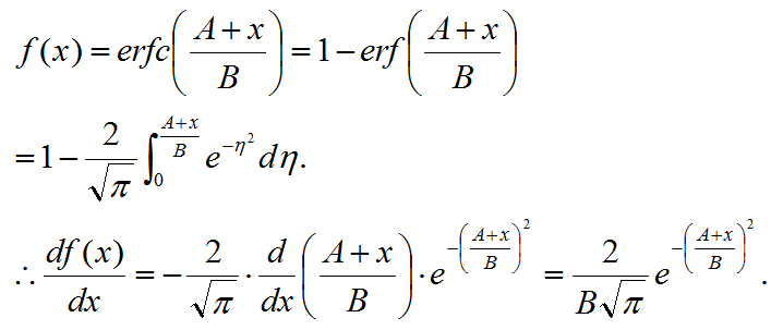
高斯补误差函数求导函数,请赐教,谢谢 已有1人参与
|
|
|
|
hank612至尊木虫 (著名写手)
|
|
![]() |
|
|
2楼2015-04-01 04:07:10
|
|
终之太刀—晓铁杆木虫 (著名写手)
数学爱好者
|
|
![]() |
|
|
3楼2015-04-01 04:10:51
|
|
终之太刀—晓铁杆木虫 (著名写手)
数学爱好者
|
|
![]() |
|
|
4楼2015-04-01 04:11:20
|
|
napxy木虫 (著名写手)
|
|
|
5楼2015-04-01 08:35:11
|
|














回复此楼
