| ²é¿´: 5086 | »Ø¸´: 9 | ||
ÖìС»Òľ³æ (ÕýʽдÊÖ)
|
[ÇóÖú]
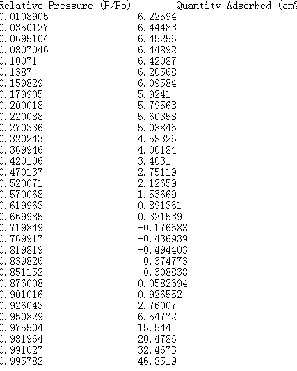
BET²âÊÔ±ê×¼Êý¾Ý¾ÓÈ»ÓиºÖµ£¿ ÒÑÓÐ5È˲ÎÓë
|
|
¸Õ½Ó´¥BETµÄ֪ʶ£¬ÄÄλ´óÏÀÄܽâÊÍÏÂÕâ¸öÇé¿ö£¬Îü¸½ÖµÎªÊ²Ã´³öÏÖ¸ºÖµÄØ£¿¶øÍѸ½ÖµÈ´Ã»ÓгöÏÖ¸ºÖµ¡£ »¹ÓÐÕâ¸öÊý¾Ý(¼û¸½¼þ)¿´ÆðÀ´ÊdzÊÏÖÏȽµºóÉýµÄÇ÷ÊÆ£¿ ΪÒÔΪ±¨£¬Î¨Óнð±Ò·îÉÏ£¡ 1.png |
» ²ÂÄãϲ»¶
085600µ÷¼Á
ÒѾÓÐ4È˻ظ´
Õãʦ´ó»¯Óë²ÄѧԺ2026ÄêÓдóÁ¿Ë¶Ê¿Ñо¿Éúµ÷¼ÁÃû¶î £¨ÏßÉÏ µ÷¼Á£©
ÒѾÓÐ9È˻ظ´
»¯Ñ§¹¤³Ì¼°¹¤Òµ»¯Ñ§ÂÛÎÄÈóÉ«/·ÒëÔõôÊÕ·Ñ?
ÒѾÓÐ182È˻ظ´
¼ªÁÖ¹¤³Ì¼¼Êõʦ·¶Ñ§Ôº ²ÄÁÏÓ뻯¹¤ £¨0856£© ÕÐÊÕµ÷¼Á
ÒѾÓÐ5È˻ظ´
¿ÎÌâ×é(»¯Ñ§¡¢»¯¹¤¡¢»·¾³¡¢ÄÜÔ´¡¢²ÄÁÏÏà¹Ø·½Ïò)»¶ÓÄãµÄ¼ÓÈë
ÒѾÓÐ11È˻ظ´
¹ú¼Ò´óÈ˲ſÎÌâ×éÕÐÊÕ»¯Ñ§¡¢²ÄÁÏ»¯¹¤Àà2026Äêµ÷¼ÁÉú
ÒѾÓÐ0È˻ظ´
¹ú¼Ò´óÈ˲ſÎÌâ×éÕÐÊÕ»¯Ñ§¡¢²ÄÁÏ»¯¹¤Àà2026Äêµ÷¼ÁÉú
ÒѾÓÐ0È˻ظ´
Ìì½ò¿Æ¼¼´óѧ-£¨ÔºÊ¿ÍŶӣ©ÏȽøÏËάÓëÖ½»ù¹¦ÄܲÄÁÏÍÅ¶Ó ÕÐÊÕ2026˶ʿµ÷¼ÁÉú
ÒѾÓÐ0È˻ظ´
¼ªÁÖ¹¤³Ì¼¼Êõʦ·¶Ñ§Ôº ½»²æÑ§¿ÆÑо¿Ôº£¨08/07£© ÕÐÊÕµ÷¼Á
ÒѾÓÐ3È˻ظ´
¹ú¼Ò´óÈ˲ſÎÌâ×éÕÐÊÕ»¯Ñ§¡¢²ÄÁÏ»¯¹¤Àà2026Äêµ÷¼ÁÉú
ÒѾÓÐ0È˻ظ´
»¯¹¤-²ÄÁÏÓ뻯¹¤½ÓÊÕµ÷¼Á3Ãû
ÒѾÓÐ0È˻ظ´
» ±¾Ö÷ÌâÏà¹Ø¼ÛÖµÌùÍÆ¼ö£¬¶ÔÄúͬÑùÓаïÖú:
BET±¨¸æÊý¾ÝÖÐCֵΪ¸ºÊýºÏÊÊÂð£¿
ÒѾÓÐ4È˻ظ´
Ò»¸öÑùÆ·È«¿×·ÖÎö£¬¼ÆËãBET£¬·¢ÏÖÔÚ0.05---0.3·¶Î§Ñ¡µãCֵȫΪ¸ºÖµ£¬Õâ¸öÔõô½âÊÍ£¿
ÒѾÓÐ8È˻ظ´
BET±íÕ÷ʱ£¬±È±íÃæ»ýΪ¸ºÖµ£¬Ê²Ã´ÔÒò£¬Ôõô½â¾ö£¿£¨Êý¾ÝÈçÏ£©
ÒѾÓÐ8È˻ظ´
²â»îÐÔÌ¿µÄ±È±íÃæ ÓÃBET²â³öÀ´CÖµÊǸºµÄ Ϊʲô
ÒѾÓÐ14È˻ظ´
BET²âÊÔ·¢ÏÖÎü¸½Á¿Îª¸ºÖµ£¬ÊÇʲôÔÒò
ÒѾÓÐ5È˻ظ´
BET²âÊÔ΢¿×ÈÝÁ¿Îª¸ºÖµ
ÒѾÓÐ4È˻ظ´
ssbalabin
ͳæ (³õÈëÎÄ̳)
- Ó¦Öú: 3 (Ó×¶ùÔ°)
- ½ð±Ò: 91.3
- ºì»¨: 1
- Ìû×Ó: 45
- ÔÚÏß: 8.8Сʱ
- ³æºÅ: 731815
- ×¢²á: 2009-03-26
- רҵ: ²ÄÁÏ¿ÆÑ§
2Â¥2015-03-17 19:58:13
ÖìС»Ò
ľ³æ (ÕýʽдÊÖ)
- Ó¦Öú: 1 (Ó×¶ùÔ°)
- ½ð±Ò: 2651.3
- Ìû×Ó: 301
- ÔÚÏß: 100.6Сʱ
- ³æºÅ: 2486557
- ×¢²á: 2013-05-29
- ÐÔ±ð: GG
- רҵ: µç»¯Ñ§
3Â¥2015-03-17 20:35:45
Á¶ÓüÖ®»ð
ÖÁ×ðľ³æ (ÖªÃû×÷¼Ò)
ÄæË®ÐÐÖÛ£¬²»½øÔòÍË
- C-EPI: 1
- Ó¦Öú: 258 (´óѧÉú)
- ¹ó±ö: 0.228
- ½ð±Ò: 13217.6
- É¢½ð: 1402
- ºì»¨: 44
- ɳ·¢: 4
- Ìû×Ó: 6185
- ÔÚÏß: 787.9Сʱ
- ³æºÅ: 2862838
- ×¢²á: 2013-12-11
- רҵ: ´ß»¯»¯Ñ§
¡¾´ð°¸¡¿Ó¦Öú»ØÌû
¡ï
¸Ðл²ÎÓ룬ӦÖúÖ¸Êý +1
qixingzhen: ½ð±Ò+1, ¶àл»ØÌû£¬»¶Ó³£À´´ß»¯°æ 2015-03-18 10:12:17
¸Ðл²ÎÓ룬ӦÖúÖ¸Êý +1
qixingzhen: ½ð±Ò+1, ¶àл»ØÌû£¬»¶Ó³£À´´ß»¯°æ 2015-03-18 10:12:17
|
×î´ó¿ÉÄܾÍÊÇÂ©Æø¡£»òÕßÒÇÆ÷ϵͳ·ÇÕæ¿Õ Â¥Ö÷²Î¿¼Õâ¸ö£º http://muchong.com/html/201304/5778835.html |

4Â¥2015-03-17 22:15:31
hanxiaomeis
гæ (ÕýʽдÊÖ)
- Ó¦Öú: 10 (Ó×¶ùÔ°)
- ½ð±Ò: 137.6
- É¢½ð: 100
- ºì»¨: 2
- Ìû×Ó: 608
- ÔÚÏß: 123.7Сʱ
- ³æºÅ: 3618903
- ×¢²á: 2014-12-29
- רҵ: ÌìÈ»Óлú»¯Ñ§
¡¾´ð°¸¡¿Ó¦Öú»ØÌû
É̼ÒÒѾÖ÷¶¯ÉùÃ÷´Ë»ØÌû¿ÉÄܺ¬ÓÐÐû´«ÄÚÈÝ|
ÕâÖÖÎÊÌâÎʵÄÈËÌ«¶àÁË£¬²»¿ÉÄÜÂ©Æø£¬¶¯²»¶¯Òì³£¹é¾ÌÓÚÂ©ÆøÕæÊÇ¿´²»ÏÂÈ¥ÁË£¬ÍùÍù±È±íÃæµÍ£¬ÖÊÁ¿ÉÙµÄÇé¿öϺÜÈÝÒ׳öÏÖÒì³££¬Ñ¹Á¦´«¸ÐÆ÷¾«¶È´ï²»µ½ÄǾ«¶È [ ·¢×ÔСľ³æ¿Í»§¶Ë ] |
5Â¥2015-03-30 00:53:24
Insomnia²Å
ľ³æ (ÕýʽдÊÖ)
- Ó¦Öú: 24 (СѧÉú)
- ½ð±Ò: 3524.5
- É¢½ð: 160
- ºì»¨: 10
- Ìû×Ó: 658
- ÔÚÏß: 1565.2Сʱ
- ³æºÅ: 1603472
- ×¢²á: 2012-02-07
- רҵ: ÄÜÔ´»¯¹¤
|
¸ù¾ÝÎÒ×öBET²âÊԵľÑ飬ÔÞ³ÉÕâÖÖ˵·¨¡£ ʵ¼ÊÉÏÔÚ²âÊÔµÄʱºò£¬Óöµ½ÕâÖÖÇé¿ö¾Í°Ñ²âÊÔÓÃÁ¿Ìá¸ß£¬È»ºó²âÊÔ½á¹û¾ÍÕý³£ÁË¡£ |
6Â¥2015-03-30 08:08:53
sanqi_1990
Ìú³æ (³õÈëÎÄ̳)
- Ó¦Öú: 5 (Ó×¶ùÔ°)
- ½ð±Ò: 112.5
- Ìû×Ó: 34
- ÔÚÏß: 38.4Сʱ
- ³æºÅ: 2531876
- ×¢²á: 2013-07-04
- רҵ: ÄÜÔ´»¯¹¤
7Â¥2016-01-19 16:35:55
ddflcpp
½ð³æ (ÕýʽдÊÖ)
- Ó¦Öú: 18 (СѧÉú)
- ½ð±Ò: 1271.4
- É¢½ð: 40
- ºì»¨: 4
- Ìû×Ó: 571
- ÔÚÏß: 159.4Сʱ
- ³æºÅ: 2670887
- ×¢²á: 2013-09-22
- ÐÔ±ð: GG
- רҵ: ÄÜÔ´»¯¹¤
8Â¥2016-01-21 08:23:01
¸ñ¸ñÊåÊå
ľ³æ (ÕýʽдÊÖ)
- Ó¦Öú: 148 (¸ßÖÐÉú)
- ½ð±Ò: 3373.8
- É¢½ð: 215
- ºì»¨: 23
- Ìû×Ó: 463
- ÔÚÏß: 243.8Сʱ
- ³æºÅ: 4078036
- ×¢²á: 2015-09-17
- ÐÔ±ð: GG
- רҵ: Ó¦Óø߷Ö×Ó»¯Ñ§ÓëÎïÀí

9Â¥2016-01-21 08:48:44
sanqi_1990
Ìú³æ (³õÈëÎÄ̳)
- Ó¦Öú: 5 (Ó×¶ùÔ°)
- ½ð±Ò: 112.5
- Ìû×Ó: 34
- ÔÚÏß: 38.4Сʱ
- ³æºÅ: 2531876
- ×¢²á: 2013-07-04
- רҵ: ÄÜÔ´»¯¹¤
10Â¥2016-01-21 14:20:50














»Ø¸´´ËÂ¥