| ²é¿´: 2448 | »Ø¸´: 6 | ||||
ÖìС»Òľ³æ (ÕýʽдÊÖ)
|
[ÇóÖú]
XPS·åÐÍÌ«ÂÒ£¬ÄÄλ´óÉñÄÜÖ¸µ¼Ò»Ï£¿ ÒÑÓÐ3È˲ÎÓë
|
|
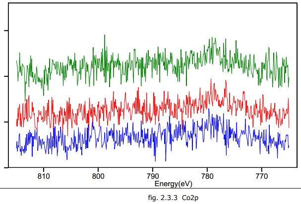
±¾ÈË×öµÄÑõ»¯îܺÍÑõ»¯îѸ´ºÏ²ÄÁÏ£¬XPSͼÆ×ÖÐCo 2p1/2 ºÍ3/2·åÒ»µã¶¼²»Ã÷ÏÔ£¬ºÜÂÒ£¬¶øÎÄÏ×ÀïÃæ¶¼ÊÇͦÃ÷ÏÔµÄÁ½¸ö·å¡£ ÄÄλ´óÉñ¸ú½âÊÍÒ»ÏÂÔÒò£¿¸ÃÈçºÎ¸Ä½ø£¿ Co_¿´Í¼Íõ.jpg |
» ²ÂÄãϲ»¶
285Çóµ÷¼Á
ÒѾÓÐ12È˻ظ´
Çóµ÷¼Á
ÒѾÓÐ6È˻ظ´
085600²ÄÁÏÓ뻯¹¤301·ÖÇóµ÷¼ÁԺУ
ÒѾÓÐ19È˻ظ´
277¹¤¿ÆÇóµ÷¼Á
ÒѾÓÐ11È˻ظ´
277Çóµ÷¼Á ÊýÒ»104·Ö
ÒѾÓÐ13È˻ظ´
304Çóµ÷¼Á
ÒѾÓÐ10È˻ظ´
336Çóµ÷¼Á£¬Ò»Ö¾Ô¸Öпƴó
ÒѾÓÐ6È˻ظ´
071000ÉúÎïѧ£¬Ò»Ö¾Ô¸ÉîÛÚ´óѧ296·Ö£¬Çóµ÷¼Á
ÒѾÓÐ3È˻ظ´
Ò»Ö¾Ô¸±±¾©»¯¹¤085600 310·ÖÇóµ÷¼Á
ÒѾÓÐ19È˻ظ´
274Çóµ÷¼ÁÇóµ÷¼Á
ÒѾÓÐ7È˻ظ´
» ±¾Ö÷ÌâÏà¹ØÉ̼ÒÍÆ¼ö: (ÎÒÒ²ÒªÔÚÕâÀïÍÆ¹ã)
» ±¾Ö÷ÌâÏà¹Ø¼ÛÖµÌùÍÆ¼ö£¬¶ÔÄúͬÑùÓаïÖú:
XPS·Ö·åÎÊÌ⣬Çó¸ßÊÖÖ¸µ¼
ÒѾÓÐ13È˻ظ´
ÔÚÏßÇóÖú£ºXPS·Ö·å!´óÉñÃÇ·¹ýÃéÒ»ÑÛ°É~~
ÒѾÓÐ13È˻ظ´
¸÷λ´óÉñ°ïÎÒ¿´Ò»ÏÂÕâ¸öXPSͼ°É£¬Ð¡µÜ³õѧÕß¶Ô´ËÊÇÏ൱µÄÉúÊè
ÒѾÓÐ9È˻ظ´
gxytju2008
ר¼Ò¹ËÎÊ (ÎÄ̳¾«Ó¢)
-

ר¼Ò¾Ñé: +1654 - Ó¦Öú: 4105 (¸±½ÌÊÚ)
- ¹ó±ö: 0.053
- ½ð±Ò: 47567.7
- É¢½ð: 4089
- ºì»¨: 503
- Ìû×Ó: 14997
- ÔÚÏß: 7316.1Сʱ
- ³æºÅ: 1111232
- ×¢²á: 2010-09-29
- ÐÔ±ð: GG
- רҵ: ²ÄÁÏÎïÀí»¯Ñ§
- ¹ÜϽ: ΢Ã׺ÍÄÉÃ×
¡¾´ð°¸¡¿Ó¦Öú»ØÌû
¡ï ¡ï ¡ï ¡ï ¡ï ¡ï ¡ï
¸Ðл²ÎÓ룬ӦÖúÖ¸Êý +1
ÖìС»Ò: ½ð±Ò+5, ¡ï¡ï¡ïºÜÓаïÖú 2015-03-16 22:05:13
archbishop: ½ð±Ò+2, ¸ÐлӦÖú 2015-03-17 12:37:21
¸Ðл²ÎÓ룬ӦÖúÖ¸Êý +1
ÖìС»Ò: ½ð±Ò+5, ¡ï¡ï¡ïºÜÓаïÖú 2015-03-16 22:05:13
archbishop: ½ð±Ò+2, ¸ÐлӦÖú 2015-03-17 12:37:21
| ÐźÅÌ«ÈõÌ«ÈõÁË¡£¡£²»ÖªµÀÊǺ¬Á¿µÍ»¹ÊÇɨÃèʱ¼äÌ«¶ÌÁË£¬×ÜÖ®»¹ÊÇÖØ×ö°É¡£¡£²»Õ¦ÄÜÓõÄÑù×Ó |
2Â¥2015-03-16 21:15:28
ÖìС»Ò
ľ³æ (ÕýʽдÊÖ)
- Ó¦Öú: 1 (Ó×¶ùÔ°)
- ½ð±Ò: 2651.3
- Ìû×Ó: 301
- ÔÚÏß: 100.6Сʱ
- ³æºÅ: 2486557
- ×¢²á: 2013-05-29
- ÐÔ±ð: GG
- רҵ: µç»¯Ñ§
3Â¥2015-03-16 22:07:54
gxytju2008
ר¼Ò¹ËÎÊ (ÎÄ̳¾«Ó¢)
-

ר¼Ò¾Ñé: +1654 - Ó¦Öú: 4105 (¸±½ÌÊÚ)
- ¹ó±ö: 0.053
- ½ð±Ò: 47567.7
- É¢½ð: 4089
- ºì»¨: 503
- Ìû×Ó: 14997
- ÔÚÏß: 7316.1Сʱ
- ³æºÅ: 1111232
- ×¢²á: 2010-09-29
- ÐÔ±ð: GG
- רҵ: ²ÄÁÏÎïÀí»¯Ñ§
- ¹ÜϽ: ΢Ã׺ÍÄÉÃ×
4Â¥2015-03-16 22:14:23
ÖìС»Ò
ľ³æ (ÕýʽдÊÖ)
- Ó¦Öú: 1 (Ó×¶ùÔ°)
- ½ð±Ò: 2651.3
- Ìû×Ó: 301
- ÔÚÏß: 100.6Сʱ
- ³æºÅ: 2486557
- ×¢²á: 2013-05-29
- ÐÔ±ð: GG
- רҵ: µç»¯Ñ§
5Â¥2015-03-16 22:19:35
Сε³¬Ë®
гæ (³õÈëÎÄ̳)
- Ó¦Öú: 0 (Ó×¶ùÔ°)
- ½ð±Ò: 15
- Ìû×Ó: 8
- ÔÚÏß: 1.5Сʱ
- ³æºÅ: 24834374
- ×¢²á: 2020-12-27
- רҵ: ×ÊÔ´ÀûÓÿÆÑ§¼°ÆäËû
6Â¥2021-08-23 11:06:23
pcceshi9
½ð³æ (ÖøÃûдÊÖ)
- Ó¦Öú: 123 (¸ßÖÐÉú)
- ½ð±Ò: 1510.7
- É¢½ð: 987
- ºì»¨: 16
- ɳ·¢: 1
- Ìû×Ó: 1446
- ÔÚÏß: 407.4Сʱ
- ³æºÅ: 8084222
- ×¢²á: 2018-02-25
- רҵ: ´ß»¯»¯Ñ§
7Â¥2021-09-01 10:18:05














»Ø¸´´ËÂ¥