24小时热门版块排行榜    

查看: 1152  |  回复: 11

etreeasky

新虫 (初入文坛)

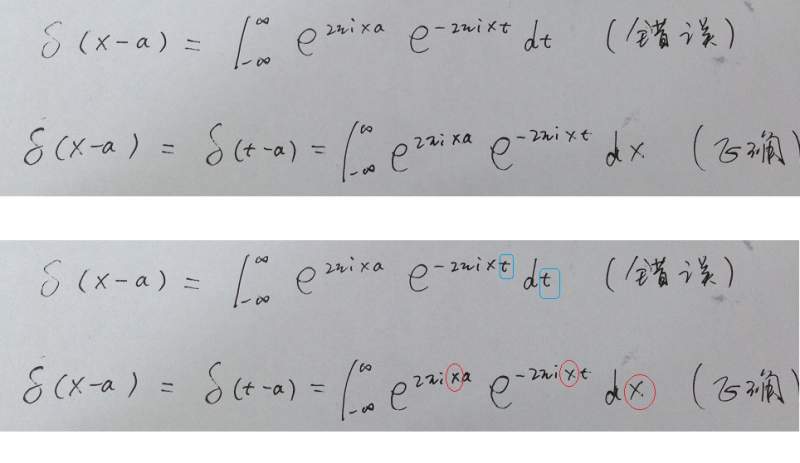
答案如下:
百思不解,哪里错了?
IMG_1444.JPG

11楼2015-03-04 10:50:45
已阅   回复此楼   关注TA 给TA发消息 送TA红花 TA的回帖
引用回帖:
7楼: Originally posted by 终之太刀—晓 at 2015-02-28 22:01:55
请问LZ,下图是傅里叶逆变换的符号么?

1.png
...



[ 发自手机版 http://muchong.com/3g ]
12楼2015-03-26 18:59:41
已阅   回复此楼   关注TA 给TA发消息 送TA红花 TA的回帖
相关版块跳转 我要订阅楼主 etreeasky 的主题更新
普通表情 高级回复 (可上传附件)
最具人气热帖推荐 [查看全部] 作者 回/看 最后发表
[考研] 一志愿哈工大,085400,320,求调剂 +3 gdlf9999 2026-03-24 3/150 2026-03-24 10:08 by 搏击518
[考研] 298-一志愿中国农业大学-求调剂 +11 手机用户 2026-03-17 12/600 2026-03-23 23:51 by 热情沙漠
[考研] 一志愿中南大学化学学硕0703总分337求调剂 +5 niko- 2026-03-22 5/250 2026-03-23 22:01 by fuyu_
[考研] 328求调剂,英语六级551,有科研经历 +7 生物工程调剂 2026-03-17 12/600 2026-03-23 18:18 by YMU施老师
[考研] 316求调剂 +7 梁茜雯 2026-03-19 7/350 2026-03-23 16:21 by lingjue
[考研] 263求调剂 +6 yqdszhdap- 2026-03-22 9/450 2026-03-23 12:57 by yqdszhdap-
[考研] 276求调剂 +3 YNRYG 2026-03-21 4/200 2026-03-23 08:31 by 醉在风里
[考研] 352求调剂 +3 大米饭! 2026-03-22 3/150 2026-03-22 23:28 by king123!
[考研] 求调剂 +5 Zhangbod 2026-03-21 7/350 2026-03-22 13:13 by Zhangbod
[考研] 285求调剂 +6 ytter 2026-03-22 6/300 2026-03-22 12:09 by 星空星月
[考研] 297求调剂 +3 喜欢还是不甘心 2026-03-20 3/150 2026-03-21 18:33 by 学员8dgXkO
[考研] 材料与化工(0856)304求 B区 调剂 +3 邱gl 2026-03-21 3/150 2026-03-21 13:47 by lature00
[考研] 材料 336 求调剂 +3 An@. 2026-03-18 4/200 2026-03-21 01:39 by JourneyLucky
[考研] 274求调剂 +10 S.H1 2026-03-18 10/500 2026-03-20 23:51 by JourneyLucky
[考研] 295求调剂 +4 一志愿京区211 2026-03-18 6/300 2026-03-20 23:41 by JourneyLucky
[考研] 一志愿武汉理工材料工程专硕调剂 +9 Doleres 2026-03-19 9/450 2026-03-20 22:36 by JourneyLucky
[考研] 一志愿西南交通 专硕 材料355 本科双非 求调剂 +5 西南交通专材355 2026-03-19 5/250 2026-03-20 21:10 by JourneyLucky
[考研] 一志愿西安交通大学 学硕 354求调剂211或者双一流 +3 我想要读研究生 2026-03-20 3/150 2026-03-20 20:13 by JourneyLucky
[考研] 一志愿吉林大学材料学硕321求调剂 +11 Ymlll 2026-03-18 15/750 2026-03-20 19:40 by 丁丁*
[考研] 生物学调剂招人!!! +3 山海天岚 2026-03-17 4/200 2026-03-19 21:34 by 怎么释怀
信息提示
请填处理意见