| 查看: 1227 | 回复: 2 | |||
Edstrayer版主 (著名写手)
方寸斗室小天地正气迷漫大世界
|
[交流]
复合数的一个性质 已有2人参与
|
|
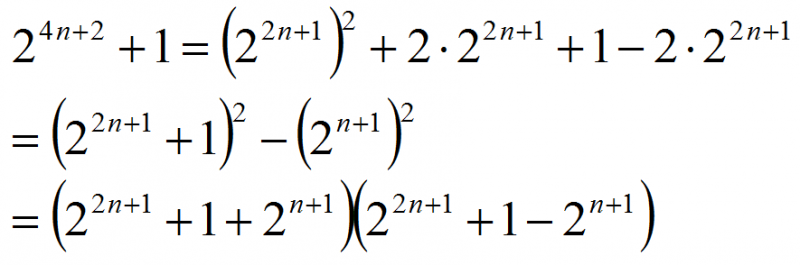
试证:对于任何正整数n,整数 |
» 猜你喜欢
求调剂推荐
已经有7人回复
289 分105500药学专硕求调剂(找B区学校)
已经有4人回复
0854求调剂
已经有13人回复
初试324 中药学 一志愿天中医 求调剂
已经有3人回复
药学求调剂
已经有14人回复
327求调剂
已经有27人回复
急需调剂
已经有5人回复
300求调剂
已经有7人回复
271求调剂
已经有33人回复
273求调剂
已经有8人回复
» 本主题相关价值贴推荐,对您同样有帮助:
什么物质和低密度聚乙烯性质最相似?
已经有6人回复
一个相变会发生,而且发生的快慢不同,那么相变发生的本质是什么?
已经有21人回复
请问做科研的朋友都是怎么测复合材料空隙率的?
已经有20人回复
油品 组成和性质研究
已经有10人回复
用什么方法表征复合材料两相界面处的结合强度?
已经有22人回复
请教一个介电常数的问题。
已经有17人回复
化工主要物性参数查询网站
已经有43人回复
场发射性质可以用在哪些方面呢?
已经有4人回复
科普一下————复合材料
已经有23人回复
急问复合材料和杂化材料什么区别?
已经有12人回复
复合材料的弯曲性能与什么有关系
已经有23人回复
【请教】碳纳米管研究
已经有31人回复
【转帖】理解矩阵
已经有51人回复
【求助】复合材料与合金的区别
已经有22人回复

hank612
至尊木虫 (著名写手)
- 数学EPI: 14
- 应助: 225 (大学生)
- 金币: 14270.6
- 散金: 1055
- 红花: 95
- 帖子: 1526
- 在线: 1375.8小时
- 虫号: 2530333
- 注册: 2013-07-03
- 性别: GG
- 专业: 理论和计算化学

2楼2015-02-19 13:26:55
终之太刀—晓
铁杆木虫 (著名写手)
数学爱好者
- 数学EPI: 7
- 应助: 282 (大学生)
- 贵宾: 0.018
- 金币: 2934.2
- 散金: 5589
- 红花: 53
- 帖子: 1809
- 在线: 401.6小时
- 虫号: 3469007
- 注册: 2014-10-12
- 性别: MM
- 专业: 偏微分方程

3楼2015-02-19 20:14:08













回复此楼