| ²é¿´: 557 | »Ø¸´: 1 | |
Ë®¹û´«Ïãͳæ (СÓÐÃûÆø)
|
[ÇóÖú]
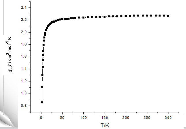
¹ØÓÚÎÒ²âÁË´ÅÐÔÖ®ºóµÃµ½µÄÇúÏߣ¬ÓÐһЩµØ·½ÈÃÎÒÒɻ󲻽⣬ÇóÖ¸½Ì ÒÑÓÐ1È˲ÎÓë
|
|
|
|
ÌìÁéÖ®»êÒø³æ (ÕýʽдÊÖ)
|
|
|
2Â¥2015-09-26 10:48:03
|
|














»Ø¸´´ËÂ¥
ÄãµÄÎÊÌâÎÒ²»¶®£¬Ð¡°×Ò»¸ö¡£Ö»ÏëÈõÈõµØÎÊÒ»¾ä£¬¿¹´ÅУÕýÊÇÔõô×öµÄÄØ£¿