| 查看: 468 | 回复: 0 | ||
[交流]
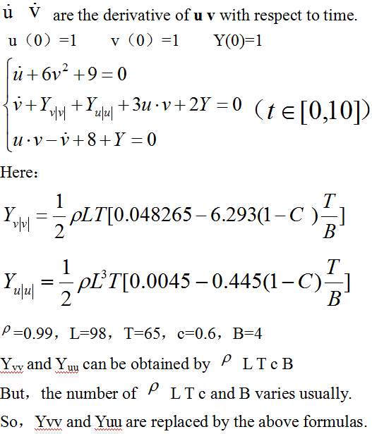
MATLAB出错了
|
找到一些相关的精华帖子,希望有用哦~
matlab优化报错
已经有8人回复
matlab求模型参数有错误,求指导
已经有5人回复
请问一下matlab这个是什么问题
已经有10人回复
我用matlab求矩阵的特性向量矩阵,怎么出错了?
已经有13人回复
matlab程序错误,提示如下【弄了半夜还是不行】
已经有10人回复
matlab 运行ode45出错,不知道什么原因
已经有4人回复
matlab “Inner matrix dimensions must agree.”一直不知道哪里出错了 求助
已经有6人回复
matlab问题,菜鸟求指教
已经有7人回复
MATLAB解方程提示错误‘is not a valid expression equation’
已经有10人回复
matlab parfor并行运行中导出excel出错
已经有6人回复
matlab求函数积分出错
已经有12人回复
matlab一运行就出现的问题
已经有7人回复
请大侠指教matlab的这个错误提示到底是个神马意思?
已经有12人回复
matlab的m文件关联问题
已经有17人回复
matlab解决重心法选址问题,运行不了啊,求助各位大神
已经有10人回复
matlab-出错提示Undefined method for input arguments type 'double'.
已经有5人回复
matlab语句问题
已经有5人回复
大家爱帮我看看这段MATLAB程序为啥出错了
已经有5人回复
matlab程序问题,总是出错,麻烦大家看看问题在那里?
已经有6人回复
求助matlab-simulink运行时报错问题
已经有3人回复
【求助】谁能帮我解决一下matlab安装问题【已解决】
已经有8人回复
科研从小木虫开始,人人为我,我为人人














;
回复此楼
点击这里搜索更多相关资源