| 查看: 969 | 回复: 3 | |||
davidbear910木虫 (正式写手)
|
[求助]
求助一个联吡啶钌衍生物的CIF文件,最好是单晶的 已有1人参与
|
|
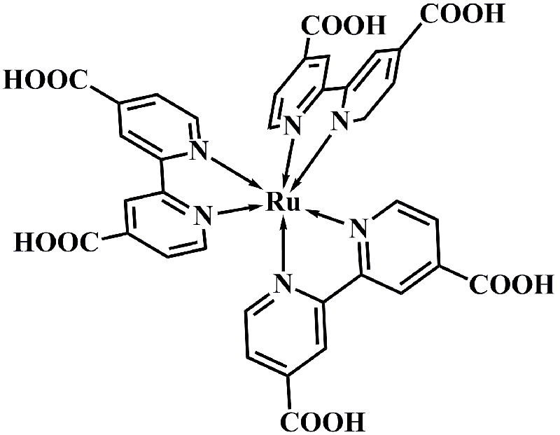
如题,求助一个联吡啶钌衍生物的CIF文件,最好是单晶的。由于本人不是做晶体的,所以不会用CCDC,有知道的虫子麻烦告知一下。化合物的名称是 Tris(4,4’-dicarboxylicacid-2,2’-bipyridyl)ruthenium(II) dichloride cas号是97333-46-5 结构式如下图 Ru-COOH 3.gif |
» 猜你喜欢
首都师范大学化学系田洋课题组专硕招调剂生
已经有10人回复
广州大学大湾区环境研究院环境大分子材料研究所王平山教授团队 2026年研究生招生简章
已经有0人回复
无机化学论文润色/翻译怎么收费?
已经有229人回复
天津理工大学
已经有0人回复
台州学院有序多孔材料团队最后冲刺,同学们别错过哦,请速联系!
已经有0人回复
江西科技师范大学物理化学课题组接收调剂生,名额还有,速来
已经有0人回复
求碳酸钠和碳酸氢钠的晶胞结构图或晶体结构图
已经有0人回复
求碳酸钠和碳酸氢钠的晶胞结构图或晶体结构图
已经有0人回复
» 本主题相关价值贴推荐,对您同样有帮助:
配合物单晶中氢键表中D是什么意思,怎么找出CIF文件氢键。选择氢键标准是什么
已经有4人回复
【求助】钌合2,2‘联吡啶的合成
已经有16人回复
【求助】pi-pi键和pi-pi堆积作用是一个概念么
已经有5人回复
我想更懂你29
专家顾问 (文坛精英)
-

专家经验: +1066 - 应助: 2668 (讲师)
- 贵宾: 0.483
- 金币: 86660.4
- 散金: 87
- 红花: 449
- 帖子: 11167
- 在线: 7874.8小时
- 虫号: 2622604
- 注册: 2013-08-29
- 性别: GG
- 专业: 原子簇化学
- 管辖: 无机/物化

2楼2015-01-19 13:10:14
davidbear910
木虫 (正式写手)
- 应助: 72 (初中生)
- 金币: 3167.8
- 散金: 47
- 红花: 8
- 帖子: 976
- 在线: 195小时
- 虫号: 2521609
- 注册: 2013-06-26
- 性别: GG
- 专业: 分析化学
3楼2015-01-19 13:38:26
我想更懂你29
专家顾问 (文坛精英)
-

专家经验: +1066 - 应助: 2668 (讲师)
- 贵宾: 0.483
- 金币: 86660.4
- 散金: 87
- 红花: 449
- 帖子: 11167
- 在线: 7874.8小时
- 虫号: 2622604
- 注册: 2013-08-29
- 性别: GG
- 专业: 原子簇化学
- 管辖: 无机/物化

4楼2015-01-19 13:47:59














回复此楼