| 查看: 1790 | 回复: 4 | ||
[求助]
谁能帮我解答一下,铁电极化,电极化,电偶极子的区别和联系,多谢!
|
|
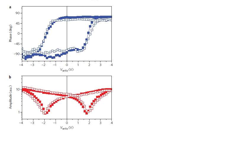
我用PFM测试了多晶薄膜的形貌、相位和振幅,其中相位和振幅的结果类似于一般铁电薄膜的回线,以及蝴蝶型的曲线,那么我可不可得出结论:该薄膜具有铁电特性,还是这个结果只能说明该薄膜发生了电极化,而且这种极化中的电偶极子一般是如何产生的?求铁电领域的大神解答,多谢! 示意图.jpg |
» 猜你喜欢
江西理工大学熊仕显教授团队2026年博士研究生招生公告
已经有0人回复
一志愿211,0856初试成绩336分,英语四级530分,六级463分求调剂
已经有2人回复
无机非金属材料论文润色/翻译怎么收费?
已经有217人回复
成都大学课题组招收26级材料工程研究生
已经有1人回复
【博士招生】上海交通大学陈倩栎课题组招收2026年申请-考核博士生1名(能源材料方向)
已经有19人回复
江西师大化学工程学院接收2026调剂生
已经有15人回复
2026年汽车材料学院计划招收调剂研究生21名
已经有0人回复
2026年齐鲁工业大学(山东省科学院)材料学部电子材料与元器件创新团队招收调剂研究生
已经有2人回复
江西师大化学工程学院调剂今晚0点开放!
已经有10人回复
» 本主题相关价值贴推荐,对您同样有帮助:
关于铁电极化和热释电效应问题跪求答案,求大侠不吝赐教
已经有8人回复
有关铁电材料极化的问题
已经有2人回复
一个关于铁电薄膜极化翻转的问题
已经有7人回复
PZT铁电薄膜中的自极化与应力关系研究
已经有10人回复
压电陶瓷极化条件如何设置
已经有3人回复
铁电极化的P-E,不理想
已经有15人回复
多铁材料铁电极化(Berryphase方法)计算问题
已经有6人回复
2楼2015-01-12 20:03:53
简语micky
新虫 (著名写手)
- 应助: 1 (幼儿园)
- 金币: 6113.3
- 散金: 305
- 红花: 7
- 帖子: 1082
- 在线: 79小时
- 虫号: 3572648
- 注册: 2014-12-02
- 专业: 半导体光电子器件
3楼2015-09-27 07:51:01
4楼2019-01-26 00:19:06
cuilin0512
木虫 (著名写手)
- 应助: 1 (幼儿园)
- 金币: 1859
- 散金: 1600
- 红花: 12
- 帖子: 1019
- 在线: 6778.9小时
- 虫号: 641563
- 注册: 2008-10-31
- 性别: GG
- 专业: 凝聚态物性 II :电子结构

5楼2019-07-18 04:58:03














回复此楼