| 查看: 3920 | 回复: 6 | ||
whdwpy666银虫 (小有名气)
|
[求助]
高阶累积量的计算
|
|
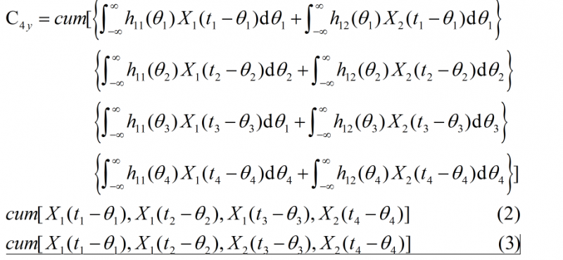
现在做线性系统四阶累积量输出和输入之间的关系(两个输入,一个输出),x1和x2分别是两个独立的输入,是均值为零的随机过程,y是输出。 当等式右边展开后会出现(2)和(3)这样两项,不知道该怎么处理。(2)直接等于0吗? 我看到单输入单输出的情况下,会求3维傅里叶变换求得高阶谱,然后计算输出和输入之间的累积量关系。但是(2)(3)这两项怎么办? ![]() ![]() ![]() QQ截图20150111111812.png |
» 猜你喜欢
327求调剂
已经有5人回复
361求调剂
已经有3人回复
一志愿中南大学化学学硕0703总分337求调剂
已经有5人回复
一志愿北京化工大学 070300 学硕 336分 求调剂
已经有6人回复
材料专业求调剂
已经有10人回复
341求调剂(一志愿湖南大学070300)
已经有5人回复
0854 考研调剂 招生了!AI 方向
已经有15人回复
384求调剂
已经有6人回复
生物学学硕求调剂
已经有4人回复
081700 调剂 267分
已经有6人回复
» 本主题相关价值贴推荐,对您同样有帮助:
2014年度浙江省自然科学基金拟资助项目清单
已经有14人回复
高阶导数的计算
已经有9人回复
计算一种氧化物,光吸收系数计算的光吸收边远大于能带带隙,求解释
已经有24人回复
pippi6
铁杆木虫 (著名写手)
工程和科学数值计算咨询
- 数学EPI: 6
- 应助: 413 (硕士)
- 贵宾: 0.002
- 金币: 7116.5
- 散金: 15
- 红花: 63
- 帖子: 1639
- 在线: 798.9小时
- 虫号: 2469437
- 注册: 2013-05-14
- 专业: 计算数学与科学工程计算
2楼2015-01-11 15:22:34
whdwpy666
银虫 (小有名气)
- 应助: 1 (幼儿园)
- 金币: 136
- 散金: 325
- 帖子: 134
- 在线: 17.1小时
- 虫号: 3444401
- 注册: 2014-09-27
- 专业: 动力学与控制
3楼2015-01-11 17:23:47
Mr-Capt
新虫 (初入文坛)
- 应助: 1 (幼儿园)
- 金币: 1753.4
- 红花: 1
- 帖子: 49
- 在线: 62.3小时
- 虫号: 1750916
- 注册: 2012-04-12
- 专业: 信号理论与信号处理
4楼2015-01-13 22:45:51
whdwpy666
银虫 (小有名气)
- 应助: 1 (幼儿园)
- 金币: 136
- 散金: 325
- 帖子: 134
- 在线: 17.1小时
- 虫号: 3444401
- 注册: 2014-09-27
- 专业: 动力学与控制
5楼2015-01-14 16:46:51
Mr-Capt
新虫 (初入文坛)
- 应助: 1 (幼儿园)
- 金币: 1753.4
- 红花: 1
- 帖子: 49
- 在线: 62.3小时
- 虫号: 1750916
- 注册: 2012-04-12
- 专业: 信号理论与信号处理
6楼2015-01-14 17:53:05
sdjkjsdh
新虫 (正式写手)
- 应助: 0 (幼儿园)
- 金币: 172
- 散金: 155
- 帖子: 559
- 在线: 153.3小时
- 虫号: 3350688
- 注册: 2014-08-03
- 专业: 导航、制导与传感技术
7楼2015-12-11 10:19:09














回复此楼