| ²é¿´: 4002 | »Ø¸´: 17 | ||||
icevallyͳæ (ÖøÃûдÊÖ)
|
[ÇóÖú]
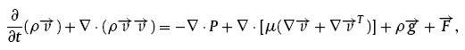
fluent VOFÔ´ÏîÎÊÌâ ÒÑÓÐ3È˲ÎÓë
|
|||
|
|
||||
| »ØÌûÖ§³Ö ( ÏÔʾ֧³Ö¶È×î¸ßµÄǰ 50 Ãû ) | ||||
ËÀÌìר¼Ò¹ËÎÊ (ÖøÃûдÊÖ)
|
¡¾´ð°¸¡¿Ó¦Öú»ØÌû
¡ï
icevally: ½ð±Ò+1, ¡ïÓаïÖú 2015-01-08 09:27:51
|
|||
|
13Â¥2015-01-07 17:00:57
|
|
|||
openfoam
|
||||
|
14Â¥2015-01-08 03:07:20
|
|
|||
ºÏ»¶÷ÈӰľ³æ (ÕýʽдÊÖ)
|
¡¾´ð°¸¡¿Ó¦Öú»ØÌû
¡ï
¸Ðл²ÎÓ룬ӦÖúÖ¸Êý +1 icevally: ½ð±Ò+1, ¡ïÓаïÖú 2015-01-07 15:20:36
|
|||
|
2Â¥2015-01-07 14:56:54
|
|
|||
ºÏ»¶÷ÈӰľ³æ (ÕýʽдÊÖ)
|
¡¾´ð°¸¡¿Ó¦Öú»ØÌû
|
|||
|
3Â¥2015-01-07 14:58:45
|
|
|||
ºÏ»¶÷ÈӰľ³æ (ÕýʽдÊÖ)
|
||||
|
4Â¥2015-01-07 15:00:25
|
|
|||
ËÀÌìר¼Ò¹ËÎÊ (ÖøÃûдÊÖ)
|
¡¾´ð°¸¡¿Ó¦Öú»ØÌû
¡ï
¸Ðл²ÎÓ룬ӦÖúÖ¸Êý +1 icevally: ½ð±Ò+1, ¡ïÓаïÖú 2015-01-07 15:21:47
|
|||
|
5Â¥2015-01-07 15:04:36
|
|
|||
ºÏ»¶÷ÈӰľ³æ (ÕýʽдÊÖ)
|
|
|||
|
7Â¥2015-01-07 15:33:05
|
|
|||
ºÏ»¶÷ÈӰľ³æ (ÕýʽдÊÖ)
|
||||
|
9Â¥2015-01-07 15:35:06
|
|
|||
| ÆÕͨ»ØÌû | ||||
icevallyͳæ (ÖøÃûдÊÖ)
|
||||
|
6Â¥2015-01-07 15:19:14
|
|
|||
icevallyͳæ (ÖøÃûдÊÖ)
|
||||
|
8Â¥2015-01-07 15:33:20
|
|
|||
icevallyͳæ (ÖøÃûдÊÖ)
|
||||
|
10Â¥2015-01-07 15:37:28
|
|
|||













»Ø¸´´ËÂ¥


