| 查看: 1697 | 回复: 7 | ||
chw5842036金虫 (正式写手)
|
[求助]
这轨道怎么看呀,各位大神帮帮忙,急急急急急....... 已有3人参与
|
|
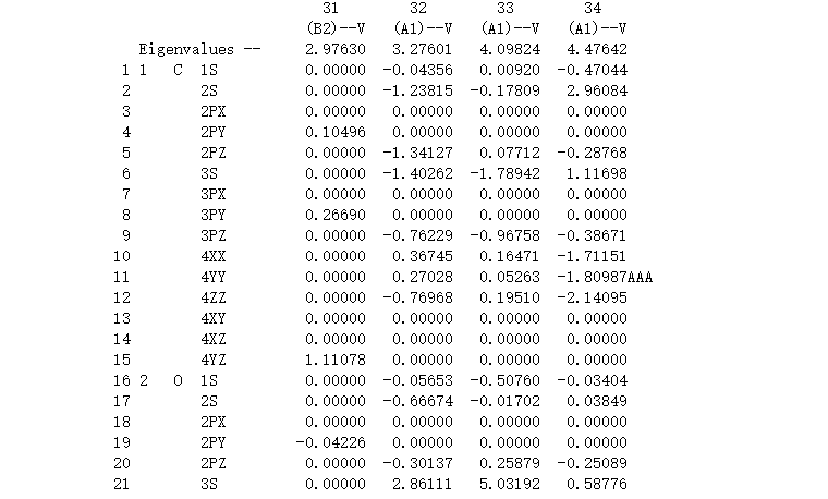
这个是甲醇的轨道的一部分,我实在看不懂,里面的A1,A2,B1,B2都是什么意思呀,还有为啥C的轨道是15个呢,各位大神帮帮忙,急急急急急.......,非常感谢各位的帮助。 X96~P9XHN4N(704MJ`V4T~1.png B}HRJGA_TEL7E`2K}AT5UG7.png P4S4~OG6ZK~TDF4]E33U5`X.png |
» 猜你喜欢
苏州科技大学 物理学专业 接收调剂生
已经有0人回复
湖南农业大学能源材料创新团队招收2025化学专业研究生(学硕)调剂
已经有0人回复
物理化学论文润色/翻译怎么收费?
已经有241人回复
2026年西华大学材料学院-材料近净成形与表面技术研究团队-招收调剂研究生
已经有9人回复
调剂信息
已经有0人回复
苏州科技大学 物理学专业 接收调剂生
已经有0人回复
高效微纳米储能材料与产业化推进实验室 苏州 招收硕士研究生(含调剂)
已经有0人回复
河北农大生物与医药专业招收调剂,名额充足
已经有0人回复
齐鲁工业大学 国家重点实验室-新能源、锂离子电池、材料、化学方向
已经有0人回复
杰青/长江团队招收调剂
已经有0人回复
中南林业科技大学罗勇锋教授团队2026年招收材料类调剂研究生
已经有0人回复
» 本主题相关价值贴推荐,对您同样有帮助:
大家大神都过来帮帮忙啦,最后一哆嗦了,
已经有9人回复
急急急,希望快点给答案,谢谢
已经有3人回复
博导回信,问我能做什么?该怎么回复啊?急急急!
已经有21人回复
talanta投稿求助,跪求各位大神帮帮忙~~~~
已经有3人回复
大神,帮小弟看看这反应做不出来??
已经有19人回复
有限元 损伤模型,请教大神 急急急!
已经有13人回复
路过的各位大神,请帮帮忙,求帮帮忙
已经有3人回复
求各位大神帮帮忙
已经有4人回复
我想问问,π轨道,π*轨道,n轨道和咱们说的homo,lumo什么区别和联系?
已经有8人回复
求助 EC50 怎么算!!!! 求大神帮忙
已经有3人回复
化学试剂投稿问题,急急急!!!
已经有8人回复
求大神翻译,解释,不胜感激
已经有21人回复
求大神们帮忙看看这个程序哪儿需要改啊
已经有7人回复
ICH在药物分析中是什么意思,具体规则是什么?各位大神帮帮忙啊
已经有4人回复
求翻译,急急急,超急,大神帮帮忙吧,版主先别删啊
已经有7人回复
求翻译,急急急,超急,大神帮帮忙吧
已经有3人回复
哪位大神帮帮忙
已经有4人回复
请各位大神帮忙看看!!!急急
已经有7人回复
求助大神帮忙解答如下题目
已经有5人回复
小弟真心求助大家帮帮忙--这个问题困扰我好久了--急急急急急!
已经有24人回复
大神来帮忙解释一下,上下两个图是什么意思
已经有10人回复
虫友们,快来帮帮忙,小妹先谢过,急急急
已经有20人回复
凝胶注模中的引发问题,急急急,前辈们帮帮分析分析
已经有12人回复

lxying
至尊木虫 (著名写手)
- 应助: 146 (高中生)
- 金币: 12568.1
- 红花: 15
- 帖子: 1395
- 在线: 273.4小时
- 虫号: 551837
- 注册: 2008-04-28
- 性别: GG
- 专业: 理论和计算化学

2楼2015-01-06 16:37:18
chw5842036
金虫 (正式写手)
- 应助: 6 (幼儿园)
- 金币: 1154.1
- 散金: 31
- 红花: 1
- 帖子: 400
- 在线: 104.8小时
- 虫号: 2764150
- 注册: 2013-10-30
- 性别: GG
- 专业: 理论和计算化学

3楼2015-01-06 17:24:52
lxying
至尊木虫 (著名写手)
- 应助: 146 (高中生)
- 金币: 12568.1
- 红花: 15
- 帖子: 1395
- 在线: 273.4小时
- 虫号: 551837
- 注册: 2008-04-28
- 性别: GG
- 专业: 理论和计算化学
【答案】应助回帖
| 轨道的对称性我没法说,你可以看看群论里边相关内容。碳原子的轨道太多了,不止15个,其中占据轨道为1s2s2p轨道,还有能量较高的空轨道比如3s 3p 4s 3d 4p 等等。参考一下原子物理学相关内容。 |
» 本帖已获得的红花(最新10朵)

4楼2015-01-06 19:17:48
chw5842036
金虫 (正式写手)
- 应助: 6 (幼儿园)
- 金币: 1154.1
- 散金: 31
- 红花: 1
- 帖子: 400
- 在线: 104.8小时
- 虫号: 2764150
- 注册: 2013-10-30
- 性别: GG
- 专业: 理论和计算化学

5楼2015-01-06 19:32:02
lxying
至尊木虫 (著名写手)
- 应助: 146 (高中生)
- 金币: 12568.1
- 红花: 15
- 帖子: 1395
- 在线: 273.4小时
- 虫号: 551837
- 注册: 2008-04-28
- 性别: GG
- 专业: 理论和计算化学

6楼2015-01-06 19:46:55
枪下游魂
木虫 (著名写手)
- 应助: 718 (博后)
- 金币: 8336.9
- 散金: 175
- 红花: 80
- 帖子: 1498
- 在线: 542.6小时
- 虫号: 2620258
- 注册: 2013-08-28
- 专业: 理论和计算化学
【答案】应助回帖
★ ★ ★ ★ ★
感谢参与,应助指数 +1
zhou2009: 金币+5 2015-01-07 17:08:08
感谢参与,应助指数 +1
zhou2009: 金币+5 2015-01-07 17:08:08
|
第一个问题:A1,B1是相关点群的不可约表示,可分别表示分子的一种对称性,甲醇应该属于Cs点群,你可以去看下其所对应的特征标表。不同的软件里相同的对称性可能用的字母不一样,可以对照着去看一下。 第二个问题:分子轨道数目由原子轨道决定,原子轨道数目由你所选择的基组决定。根据你的碳原子轨道,我猜测你所使用的基组可能是6-31g(d)。其对C和O都加了d轨道,所以轨道就为1s2sp3sp3d,所以你的O应该也是15个轨道。如此推断你的H应该只有两个轨道,1s和2s |
7楼2015-01-07 07:31:12
xieruobing
木虫 (著名写手)
- 应助: 57 (初中生)
- 金币: 4625.4
- 散金: 856
- 红花: 6
- 帖子: 2903
- 在线: 274.3小时
- 虫号: 1992463
- 注册: 2012-09-11
- 专业: 金属结构材料
8楼2015-01-07 11:34:06














回复此楼
chw5842036