±±¾©Ê¯ÓÍ»¯¹¤Ñ§Ôº2026ÄêÑо¿ÉúÕÐÉú½ÓÊÕµ÷¼Á¹«¸æ
²é¿´: 2610  |  »Ø¸´: 6
µ±Ç°Ö»ÏÔʾÂú×ãÖ¸¶¨Ìõ¼þµÄ»ØÌû£¬µã»÷ÕâÀï²é¿´±¾»°ÌâµÄËùÓлØÌû

Ìì®ÐÇ

ľ³æ (ÖøÃûдÊÖ)

[½»Á÷] ÎüÊÕ¹âÆ×¼ÆË㹫ʽÖÐwµÄº¬Òå

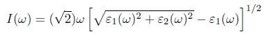
ͨ¹ý¼ÆËãµÃ³öʵ²¿ºÍÐ鲿£¬È»ºóͨ¹ý¹«Ê½£¨²»»áÊäÈ빫ʽ£¬ÈçͼƬËùʾ£©¼ÆËãÎüÊÕϵÊý£¬ÇëÎÊÆäÖеÄwÖ¸µÄʲôÁ¿£¿ÊǶàÉÙÄØ£¿Ð»Ð»

ÎüÊÕ¹âÆ×¼ÆË㹫ʽÖÐwµÄº¬Òå
E4{E[V2~24U3F~}@$2OY[NW.jpg
»Ø¸´´ËÂ¥

» ²ÂÄãϲ»¶

» ±¾Ö÷ÌâÏà¹Ø¼ÛÖµÌùÍÆ¼ö£¬¶ÔÄúͬÑùÓаïÖú:

ֻΪ³É¹¦Ñ°ÀíÓÉ£¬²»ÎªÊ§°ÜÕÒ½è¿Ú
ÒÑÔÄ   »Ø¸´´ËÂ¥   ¹Ø×¢TA ¸øTA·¢ÏûÏ¢ ËÍTAºì»¨ TAµÄ»ØÌû

Ìì®ÐÇ

ľ³æ (ÖøÃûдÊÖ)

ÒýÓûØÌû:
2Â¥: Originally posted by Physicser at 2014-12-24 09:18:34
Omega Å·Ã×ÇÑ  ÆµÂÊ£¬¹â×ÓÆµÂÊ

Äǹâ×ÓÆµÂʵÄÖµÊǶàÉÙÄØ£¿Ôõô¼ÆËãÄØ£¿Êdz£ÊýÖµÂð£¿Ð»Ð»ÁË
ֻΪ³É¹¦Ñ°ÀíÓÉ£¬²»ÎªÊ§°ÜÕÒ½è¿Ú
3Â¥2014-12-24 10:17:26
ÒÑÔÄ   »Ø¸´´ËÂ¥   ¹Ø×¢TA ¸øTA·¢ÏûÏ¢ ËÍTAºì»¨ TAµÄ»ØÌû
²é¿´È«²¿ 7 ¸ö»Ø´ð

Physicser

ľ³æ (СÓÐÃûÆø)

¡ï ¡ï ¡ï
Сľ³æ: ½ð±Ò+0.5, ¸ø¸öºì°ü£¬Ð»Ð»»ØÌû
Ìì®ÐÇ: ½ð±Ò+2 2014-12-24 10:16:38
Omega Å·Ã×ÇÑ  ÆµÂÊ£¬¹â×ÓÆµÂÊ
2Â¥2014-12-24 09:18:34
ÒÑÔÄ   »Ø¸´´ËÂ¥   ¹Ø×¢TA ¸øTA·¢ÏûÏ¢ ËÍTAºì»¨ TAµÄ»ØÌû

Physicser

ľ³æ (СÓÐÃûÆø)

¡ï
Сľ³æ: ½ð±Ò+0.5, ¸ø¸öºì°ü£¬Ð»Ð»»ØÌû
Çë²éÔÄvasp userguide
4Â¥2014-12-24 15:21:17
ÒÑÔÄ   »Ø¸´´ËÂ¥   ¹Ø×¢TA ¸øTA·¢ÏûÏ¢ ËÍTAºì»¨ TAµÄ»ØÌû

zyqh

Ìú¸Ëľ³æ (ÖøÃûдÊÖ)

¡ï ¡ï ¡ï ¡ï
Сľ³æ: ½ð±Ò+0.5, ¸ø¸öºì°ü£¬Ð»Ð»»ØÌû
Ìì®ÐÇ: ½ð±Ò+3 2014-12-25 10:06:06
w Ö¸µÄÊÇ½ÇÆµÂÊ ¾ö¶¨ÁËÄÜÁ¿ E=hw.
Óêºó·½Äܼû²Êºç
5Â¥2014-12-24 15:42:04
ÒÑÔÄ   »Ø¸´´ËÂ¥   ¹Ø×¢TA ¸øTA·¢ÏûÏ¢ ËÍTAºì»¨ TAµÄ»ØÌû
×î¾ßÈËÆøÈÈÌûÍÆ¼ö [²é¿´È«²¿] ×÷Õß »Ø/¿´ ×îºó·¢±í
[¿¼ÑÐ] ²ÄÁÏѧ˶333Çóµ÷¼Á +7 ±±µÀÏï 2026-03-24 7/350 2026-03-27 00:30 by wxiongid
[¿¼ÑÐ] 311Çóµ÷¼Á +5 lin0039 2026-03-26 5/250 2026-03-26 22:43 by ѧԱ8dgXkO
[¿¼ÑÐ] 333Çóµ÷¼Á +7 87639 2026-03-21 12/600 2026-03-26 22:08 by ²»³Ôô~µÄ؈
[¿¼ÑÐ] 321Çóµ÷¼Á +6 Ymlll 2026-03-24 6/300 2026-03-26 20:50 by ²»³Ôô~µÄ؈
[¿¼ÑÐ] 081200-11408-276ѧ˶Çóµ÷¼Á +3 ´Þwj 2026-03-26 3/150 2026-03-26 19:57 by nihaoar
[¿¼ÑÐ] ²ÄÁϵ÷¼Á 5+4 ÏëÒªÒ»ºøÌÒ»¨Ë® 2026-03-25 10/500 2026-03-26 19:56 by ²»³Ôô~µÄ؈
[¿¼ÑÐ] µ÷¼ÁÍÆ¼ö +4 Ç徯714 2026-03-26 5/250 2026-03-26 17:49 by fmesaito
[¿¼ÑÐ] 352Çóµ÷¼Á +4 ´óÃ×·¹£¡ 2026-03-22 4/200 2026-03-26 16:40 by ²»³Ôô~µÄ؈
[¿¼ÑÐ] 289Çóµ÷¼Á +17 ˶ÐǸ° 2026-03-23 17/850 2026-03-26 16:18 by ²»³Ôô~µÄ؈
[¿¼ÑÐ] Ò»Ö¾Ô¸ Î÷±±´óѧ ×Ü·Ö282 Ó¢ÓïÒ»62 Çóµ÷¼Á +7 18419759900 2026-03-25 7/350 2026-03-26 16:07 by ²»³Ôô~µÄ؈
[¿¼ÑÐ] 22 350 ±¾¿Æ985Çóµ÷¼Á£¬ÇóÀϵÇÊÕÁô +4 ÀîéóÄÐ003 2026-03-20 4/200 2026-03-26 16:05 by ÍÛÀ²À²À²xtj
[¿¼ÑÐ] 291 Çóµ÷¼Á +7 »¯¹¤2026½ì±ÏÒµÉ 2026-03-21 8/400 2026-03-26 11:25 by AlenQIN.
[¿¼ÑÐ] 306Çó0703µ÷¼ÁÒ»Ö¾Ô¸»ªÖÐʦ·¶ +10 Ö½Óãly 2026-03-21 11/550 2026-03-24 17:22 by qingfeng258
[¿¼ÑÐ] 284Çóµ÷¼Á +3 yanzhixue111 2026-03-23 6/300 2026-03-23 22:58 by pswait
[¿¼ÑÐ] ¹¤¿Æ0856Çóµ÷¼Á +5 ãåÎö͡͡ 2026-03-21 5/250 2026-03-23 17:56 by º£ÉªÞ±-
[¿¼ÑÐ] ÇóÀÏʦÊÕÎÒ +3 zzh16938784 2026-03-23 3/150 2026-03-23 12:56 by ztnimte
[¿¼ÑÐ] Ò»Ö¾Ô¸¶«»ª´óѧ»¯Ñ§070300£¬Çóµ÷¼Á +7 2117205181 2026-03-21 8/400 2026-03-22 22:55 by chixmc
[¿¼ÑÐ] Çóµ÷¼Á +5 Zhangbod 2026-03-21 7/350 2026-03-22 13:13 by Zhangbod
[¿¼ÑÐ] AÇøÏß²ÄÁÏѧµ÷¼Á +5 ÖÜÖÜÎÞ¼« 2026-03-20 5/250 2026-03-20 21:33 by laoshidan
[¿¼ÑÐ] Ò»Ö¾Ô¸ÄÏÀí¹¤085701»·¾³302Çóµ÷¼ÁԺУ +3 ¿ûè÷ÎÀ¶Ó 2026-03-20 3/150 2026-03-20 19:28 by zhukairuo
ÐÅÏ¢Ìáʾ
ÇëÌî´¦ÀíÒâ¼û