| 查看: 421 | 回复: 2 | ||
[求助]
求问Bassani 和Wu,1991的晶格硬化模型中的各参数是如何得出的
|
|
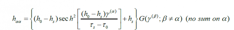
如图中的公式,想知道h0(初始硬化模量),hs(简单滑动过程中的硬化模量),taus(大的塑性流动发生时的突破应力),tau0(初始临界剪切应力)的值是怎么来的,看到很多文献都是说实验数据得来的,不知道用的是什么实验,我也正在看相关文献,有知道的望不吝赐教啊~~~拜谢各位!!! Bassani and Wu 硬化模量公式.png |
» 猜你喜欢
求助
已经有1人回复
0703化学26考研调剂,一志愿南昌大学
已经有2人回复
无机化学论文润色/翻译怎么收费?
已经有243人回复
有没有化学、材料专业的同学需要调剂 考虑天津高效的可以邮件或者私信
已经有1人回复
26年博士招生
已经有16人回复
江西理工大学功能晶态材料方向刘遂军课题组招收2026年秋季入学博士研究生
已经有11人回复
宁夏大学团簇新材料团队招收材料/化学/化工专业博士生
已经有0人回复
MIL-101有单晶样品吗
已经有1人回复
已删除
已经有3人回复
收调剂研究生
已经有2人回复
【2026 考研调剂】哈尔滨工程大学核科学与技术学院核化工系 招收调剂生
已经有2人回复
2楼2014-12-23 11:14:16
3楼2018-11-11 08:05:26













回复此楼