| 查看: 1047 | 回复: 4 | |||
[求助]
关于柱坐标系二维轴对称情况下,剪切力张量和法向量叉积求教 已有2人参与
|
|
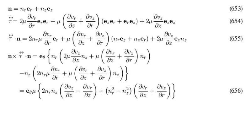
二维轴对称情况下柱坐标系变成了(r,z),n表示的是法向量(nr,nz,0)我现在想计算n×T.n的结果,图里面是我的推导过程,请大家帮我看下这样推导是否正确,关于θ方向我都认为是0 the transformation.jpg |
» 猜你喜欢
天津大学招2026.09的博士生,欢迎大家推荐交流(博导是本人)
已经有3人回复
有时候真觉得大城市人没有县城人甚至个体户幸福
已经有6人回复
面上项目申报
已经有3人回复
酰胺脱乙酰基
已经有9人回复
CSC & MSCA 博洛尼亚大学能源材料课题组博士/博士后招生|MSCA经费充足、排名优
已经有5人回复
博士延得我,科研能力直往上蹿
已经有7人回复
退学或坚持读
已经有27人回复
面上基金申报没有其他的参与者成吗
已经有5人回复
遇见不省心的家人很难过
已经有22人回复
wurongjun
专家顾问 (职业作家)
-

专家经验: +831 - 数学EPI: 9
- 应助: 791 (博后)
- 贵宾: 0.308
- 金币: 24609
- 散金: 310
- 红花: 75
- 帖子: 3004
- 在线: 881.2小时
- 虫号: 1368482
- 注册: 2011-08-14
- 性别: GG
- 专业: 计算数学与科学工程计算
- 管辖: 数学

2楼2014-12-18 13:47:30
3楼2014-12-18 14:22:30
4楼2014-12-18 14:23:36
pippi6
铁杆木虫 (著名写手)
工程和科学数值计算咨询
- 数学EPI: 6
- 应助: 413 (硕士)
- 贵宾: 0.002
- 金币: 7116.5
- 散金: 15
- 红花: 63
- 帖子: 1639
- 在线: 798.9小时
- 虫号: 2469437
- 注册: 2013-05-14
- 专业: 计算数学与科学工程计算
5楼2014-12-18 15:56:34













回复此楼