²é¿´: 765  |  »Ø¸´: 1

àË£¡Ð¡ÐÜ

гæ (СÓÐÃûÆø)

[ÇóÖú] ¹ØÓÚÆÏÌÑÌÇÑõ»¯Ã¸´«¸ÐÆ÷£¡

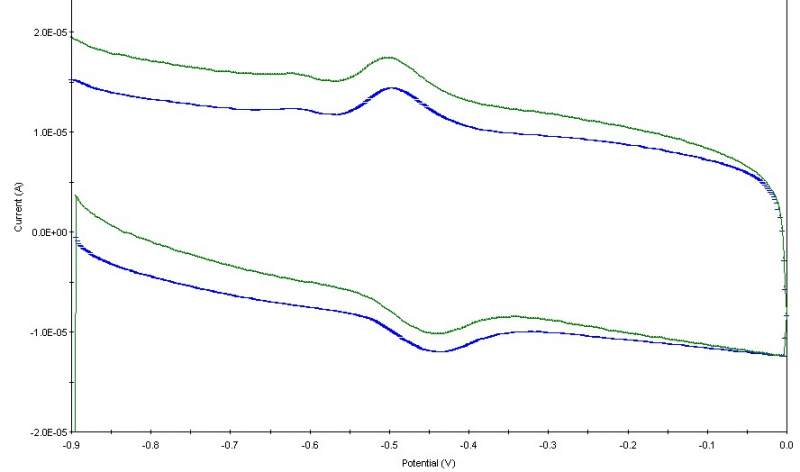
ÔÚÆÏÌÑÌÇÑõ»¯Ã¸»¹Ô­·åÅԱߣ¬~-0.65vÓиöС·å£¬²»ÖªµÀÊÇʲôԭÒò£¬ÎÒɨµÄÊÇph7.4 µÄpbs Çó½â´ð£¬°ÝÍаÝÍÐ~

¹ØÓÚÆÏÌÑÌÇÑõ»¯Ã¸´«¸ÐÆ÷£¡
µ«Æä.jpg
»Ø¸´´ËÂ¥

» ²ÂÄãϲ»¶

» ±¾Ö÷ÌâÏà¹Ø¼ÛÖµÌùÍÆ¼ö£¬¶ÔÄúͬÑùÓаïÖú:

ÒÑÔÄ   »Ø¸´´ËÂ¥   ¹Ø×¢TA ¸øTA·¢ÏûÏ¢ ËÍTAºì»¨ TAµÄ»ØÌû

glenn_9

Òø³æ (СÓÐÃûÆø)

Ç×ÄãºÃ£¬ÄãÔÚ½ÓÖ¦Ñõ»¯Ã¸µÄʱºòÊÇÔÚʲôÉÏÃæ½ÓÖ¦µÄÄØ~ÏëÇë½ÌϹþ
²»Íü³õÐÄ£¬·½µÃʼÖÕ¡£
2Â¥2014-12-22 20:23:53
ÒÑÔÄ   »Ø¸´´ËÂ¥   ¹Ø×¢TA ¸øTA·¢ÏûÏ¢ ËÍTAºì»¨ TAµÄ»ØÌû
Ïà¹Ø°æ¿éÌø×ª ÎÒÒª¶©ÔÄÂ¥Ö÷ àË£¡Ð¡ÐÜ µÄÖ÷Ìâ¸üÐÂ
×î¾ßÈËÆøÈÈÌûÍÆ¼ö [²é¿´È«²¿] ×÷Õß »Ø/¿´ ×îºó·¢±í
[¿¼ÑÐ] ÕÐ08¿¼Êýѧ +8 laoshidan 2026-03-20 17/850 2026-03-25 17:52 by Ò»¸öºìÌ«Ñô
[¿¼ÑÐ] 086000ÉúÎïÓëÒ½Ò©292Çóµ÷¼Á +3 СС³ÂСС 2026-03-22 5/250 2026-03-25 16:29 by Çóµ÷¼Ázz
[¿¼ÑÐ] 0854µç×ÓÐÅÏ¢Çóµ÷¼Á 324 +4 Promise-jyl 2026-03-23 4/200 2026-03-25 11:36 by Sugarlight
[¿¼ÑÐ] 289Çóµ÷¼Á +9 »³èªÎÕè¤l 2026-03-20 9/450 2026-03-25 11:02 by userper
[¿¼ÑÐ] Ò»Ö¾Ô¸ Î÷±±´óѧ £¬070300»¯Ñ§Ñ§Ë¶£¬×Ü·Ö287£¬Ë«·ÇÒ»±¾£¬Çóµ÷¼Á¡£ +4 ³¿»èÏßÓëÐǺ£ 2026-03-20 4/200 2026-03-25 10:16 by allen-yin
[¿¼ÑÐ] ¡¾¿¼Ñе÷¼Á¡¿»¯Ñ§×¨Òµ 281·Ö£¬Ò»Ö¾Ô¸ËÄ´¨´óѧ£¬³ÏÐÄÇóµ÷¼Á +15 ³Ô³Ô³Ô²ÅÓÐÒâÒå 2026-03-19 16/800 2026-03-24 19:51 by ÁËÁËÁËÁË¡£¡£
[¿¼ÑÐ] Çóµ÷¼Á +6 ÑÐÑУ¬½Óµç»° 2026-03-24 7/350 2026-03-24 17:01 by barlinike
[¿¼ÑÐ] 291Çóµ÷¼Á +3 HanBeiNingZC 2026-03-24 3/150 2026-03-24 16:34 by barlinike
[¿¼ÑÐ] Çóµ÷¼Á +7 Ê®Èý¼ÓÓÍ 2026-03-21 7/350 2026-03-23 23:48 by ÈÈÇéɳĮ
[¿¼ÑÐ] ¹¤¿Æ0856Çóµ÷¼Á +5 ãåÎö͡͡ 2026-03-21 5/250 2026-03-23 17:56 by º£ÉªÞ±-
[¿¼ÑÐ] 291 Çóµ÷¼Á +4 »¯¹¤2026½ì±ÏÒµÉ 2026-03-21 5/250 2026-03-23 16:46 by »¯¹¤2026½ì±ÏÒµÉ
[¿¼ÑÐ] Ò»Ö¾Ô¸070300Õã´ó»¯Ñ§358·Ö£¬Çóµ÷¼Á£¡ +4 ËÖËÖÓã.. 2026-03-21 4/200 2026-03-23 08:12 by Iveryant
[¿¼ÑÐ] 280·ÖÇóµ÷¼Á Ò»Ö¾Ô¸085802 +4 PUMPT 2026-03-22 7/350 2026-03-22 22:13 by ÐÇ¿ÕÐÇÔÂ
[¿¼ÑÐ] Ò»Ö¾Ô¸»ªÖÐũҵ071010£¬×Ü·Ö320Çóµ÷¼Á +5 À§À§À§À§À¤À¤ 2026-03-20 6/300 2026-03-22 17:41 by hxsm
[¿¼ÑÐ] Ò»Ö¾Ô¸»ªÖпƼ¼´óѧ071000£¬Çóµ÷¼Á +4 ÑØ°¶Óб´¿Ç6 2026-03-21 4/200 2026-03-22 07:21 by ilovexiaobin
[¿¼ÑÐ] 085600²ÄÁÏÓ뻯¹¤306 +4 z1z2z3879 2026-03-21 4/200 2026-03-21 23:44 by ms629
[¿¼ÑÐ] Çóµ÷¼Á +3 °×QF 2026-03-21 3/150 2026-03-21 13:12 by zhukairuo
[¿¼ÑÐ] ²ÄÁÏѧ˶297ÒѹýËÄÁù¼¶Çóµ÷¼ÁÍÆ¼ö +11 adaie 2026-03-19 11/550 2026-03-20 21:30 by laoshidan
[¿¼ÑÐ] 353Çóµ÷¼Á +3 À­¹³²»Ðí±ä 2026-03-20 3/150 2026-03-20 19:56 by JourneyLucky
[¿¼ÑÐ] 0856µ÷¼Á£¬ÊÇѧУ¾ÍÈ¥ +8 sllhht 2026-03-19 9/450 2026-03-20 14:25 by ÎÞи¿É»÷111
ÐÅÏ¢Ìáʾ
ÇëÌî´¦ÀíÒâ¼û