| ²é¿´: 139 | »Ø¸´: 0 | ||
ggcgzloveľ³æ (СÓÐÃûÆø)
|
[ÇóÖú]
Ò»ÖַǵäÐ͵ÄÍÖÔ²ÐͶþ½×ƫ΢·Ö·½³ÌµÄ½â¾ö·½·¨
|
|
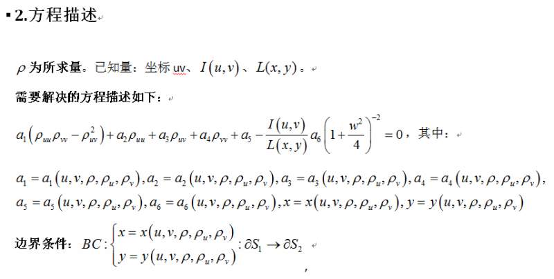
ĿǰÔÚ½â¾öÒ»¸öÍÖÔ²ÐͶþ½×ƫ΢·Ö·½³ÌʱÓöµ½ÁËÎÊÌ⣬·½³Ì¸ÅÊöÈçͼƬËùʾ£¬ÏêϸÃèÊöÐÅÏ¢ºÍ×Ô¼ºµÄ³õʼֵÉ趨³ÌÐò¾ùÔÚ¸½¼þÖС£ ·½³Ì¼òµ¥ÃèÊö.jpg ÎÊÌâ¼òµ¥ÃèÊö.jpg |
» ±¾Ìû¸½¼þ×ÊÔ´Áбí
-
»¶Ó¼à¶½ºÍ·´À¡£ºÐ¡Ä¾³æ½öÌṩ½»Á÷ƽ̨£¬²»¶Ô¸ÃÄÚÈݸºÔð¡£
±¾ÄÚÈÝÓÉÓû§×ÔÖ÷·¢²¼£¬Èç¹ûÆäÄÚÈÝÉæ¼°µ½ÖªÊ¶²úȨÎÊÌ⣬ÆäÔðÈÎÔÚÓÚÓû§±¾ÈË£¬Èç¶Ô°æÈ¨ÓÐÒìÒ飬ÇëÁªÏµÓÊÏ䣺xiaomuchong@tal.com - ¸½¼þ 1 : matlab.mat
- ¸½¼þ 2 : ÎÊÌâÏêϸÃèÊö.docx
2014-12-03 22:23:21, 887.6 K
2014-12-03 22:23:24, 353.48 K
» ²ÂÄãϲ»¶
2026ÄêÑ»·¾¼Ã¹¦ÄܲÄÁϹú¼Ê»áÒ飨ICFMCE 2026£©
ÒѾÓÐ0È˻ظ´
2026ÄêµÚÎå½ìµçÆø¡¢µç×ÓÓëÐÅÏ¢¹¤³Ì¹ú¼Ê»áÒ飨ISEEIE 2026£©
ÒѾÓÐ0È˻ظ´
ÎïÀíѧIÂÛÎÄÈóÉ«/·ÒëÔõôÊÕ·Ñ?
ÒѾÓÐ261È˻ظ´
¹þ¶û±õÀí¹¤´óѧÎïÀíϵÕÐÊÕÎïÀíѧ¿¼Ñе÷¼Á
ÒѾÓÐ5È˻ظ´
0702Ò»Ö¾Ô¸¼ª´óBÇøÇóµ÷¼Á
ÒѾÓÐ5È˻ظ´
Çóµ÷¼Á
ÒѾÓÐ0È˻ظ´
0702Ò»Ö¾Ô¸¼ª´óBÇøÇóµ÷¼ÁÓÐÂÛÎÄ
ÒѾÓÐ0È˻ظ´
ÇëÎÊ»¹ÓÐûÓÐÓÃLatexдÎÄÕµÄС»ï°éÃÇ£¿
ÒѾÓÐ0È˻ظ´
¹âѧ¹¤³Ìѧ˶µ÷¼ÁÐÅÏ¢
ÒѾÓÐ29È˻ظ´
»¶Ó¼ÓÈë¿ÎÌâ×é
ÒѾÓÐ0È˻ظ´
É¢½ð±Ò£¬ÇóºÃÔË£¬×£ÃæÉÏ˳Àû£¡
ÒѾÓÐ53È˻ظ´
ÕÒµ½Ò»Ð©Ïà¹ØµÄ¾«»ªÌû×Ó£¬Ï£ÍûÓÐÓÃŶ~
Ò»¸öÍÖÔ²ÐÍÆ«Î¢·Ö·½³ÌµÄÊýÖµ½â
ÒѾÓÐ19È˻ظ´
ÍÖÔ²ÐÎÆ«Î¢·Ö·½³Ì±ê×¼»¯ºó¸ÃÈçºÎ½â£¿
ÒѾÓÐ6È˻ظ´
ÊýѧÇàÄê»ù½ð,ÊÖ¹¤½ö²é³ö9¸ö!
ÒѾÓÐ55È˻ظ´
¿ÆÑдÓСľ³æ¿ªÊ¼£¬ÈËÈËΪÎÒ£¬ÎÒΪÈËÈË













»Ø¸´´ËÂ¥
µã»÷ÕâÀïËÑË÷¸ü¶àÏà¹Ø×ÊÔ´