| 查看: 565 | 回复: 3 | ||
| 本帖产生 1 个 翻译EPI ,点击这里进行查看 | ||
lwz403木虫 (著名写手)
|
[求助]
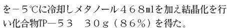
求助一段日文翻译
|
|
|
|
||
lwz403木虫 (著名写手)
|
||
|
2楼2014-12-03 11:11:39
|
|
|
【答案】应助回帖
★ ★ ★ ★ ★ ★ ★ ★ ★ ★ ★ ★ ★ ★ ★ ★ ★ ★ ★ ★ ★ ★ ★
真强必胜: 金币+3, 谢谢 2014-12-04 13:25:05 lwz403: 金币+20, 翻译EPI+1, ★★★★★最佳答案, 谢谢! 2014-12-11 14:07:47
|
||
|
3楼2014-12-04 13:14:26
|
|
|
|
4楼2014-12-04 16:47:23
|
|
|














回复此楼
没人吗?求翻译啊,只要把大体意思和主要试剂给我翻译一下就行啦