| 查看: 670 | 回复: 4 | |||
| 本帖产生 1 个 LS-EPI ,点击这里进行查看 | |||
[求助]
杂志检索问题
|
|||
| 哪位了解The BioTechnology : An Indian Journal 在这个杂志是否被EI 检索,目前? |
» 猜你喜欢
有院领导为了换新车,用横向课题经费买了俩车
已经有8人回复
博士延得我,科研能力直往上蹿
已经有8人回复
酰胺脱乙酰基
已经有12人回复
同年申请2项不同项目,第1个项目里不写第2个项目的信息,可以吗
已经有4人回复
有时候真觉得大城市人没有县城人甚至个体户幸福
已经有10人回复
天津大学招2026.09的博士生,欢迎大家推荐交流(博导是本人)
已经有5人回复
CSC & MSCA 博洛尼亚大学能源材料课题组博士/博士后招生|MSCA经费充足、排名优
已经有6人回复
面上项目申报
已经有3人回复
遇见不省心的家人很难过
已经有22人回复
大橡树
铁杆木虫 (著名写手)
- LS-EPI: 2
- 应助: 41 (小学生)
- 金币: 8252.8
- 散金: 777
- 红花: 15
- 帖子: 1243
- 在线: 302.5小时
- 虫号: 1804668
- 注册: 2012-05-08
- 性别: GG
- 专业: 色谱分析
【答案】应助回帖
★ ★ ★ ★
感谢参与,应助指数 +1
zch79214: 金币+4, ★★★很有帮助 2014-12-01 15:31:57
感谢参与,应助指数 +1
zch79214: 金币+4, ★★★很有帮助 2014-12-01 15:31:57
|
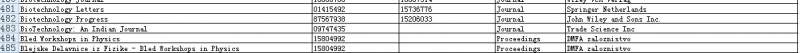
http://pan.baidu.com/s/1c0EPOGg 附件是从http://www.elsevier.com/online-t ... ntdatabase-overview网站上下载到的EI收录期刊。从附件中表格中可以检索到BioTechnology: an indian journal.另外,EI检索页面右侧的browse index中的source title里输入biotechnology也可检索到。截图也已上传。http://pan.baidu.com/s/1ntuUBFj(截图) |

2楼2014-12-01 15:04:35
3楼2014-12-01 15:36:03
阿努
专家顾问 (著名写手)
-

专家经验: +333 - LS-EPI: 120
- 应助: 215 (大学生)
- 贵宾: 0.193
- 金币: 9940.1
- 散金: 50
- 红花: 103
- 帖子: 1597
- 在线: 632.7小时
- 虫号: 2242673
- 注册: 2013-01-15
- 性别: MM
- 专业: 图书馆、情报与文献学其他
- 管辖: 检索知识
4楼2014-12-01 15:42:33
jwllok
木虫 (正式写手)
- 应助: 20 (小学生)
- 金币: 4643.1
- 散金: 210
- 红花: 3
- 帖子: 320
- 在线: 270.4小时
- 虫号: 1105142
- 注册: 2010-09-21
- 性别: GG
- 专业: 食品科学
5楼2015-01-02 19:10:45













回复此楼