| 查看: 436 | 回复: 2 | |
[求助]
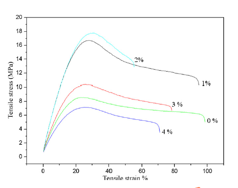
不同含量的纳米材料对PP的机械性能数据处理,求高手
|
|
|
|
|
|
2楼2014-11-29 11:33:27
|
|
|
3楼2014-11-29 11:36:32
|
|













回复此楼

早知道就不要机械性能这一块了,这块没有亲自做和涉及。
40