版块导航
正在加载中...
客户端APP下载
论文辅导
申博辅导
登录
注册
帖子
帖子
用户
本版
应《网络安全法》要求,自2017年10月1日起,未进行实名认证将不得使用互联网跟帖服务。为保障您的帐号能够正常使用,请尽快对帐号进行手机号验证,感谢您的理解与支持!
24小时热门版块排行榜
>
论坛更新日志
(442)
>
虫友互识
(42)
>
论文道贺祈福
(26)
>
考博
(15)
>
导师招生
(11)
>
硕博家园
(7)
>
招聘信息布告栏
(5)
>
公派出国
(4)
>
基金申请
(3)
>
教师之家
(3)
>
文献求助
(3)
>
标准求助
(2)
>
博后之家
(2)
>
标准与专利
(2)
>
论文投稿
(2)
>
休闲灌水
(2)
小木虫论坛-学术科研互动平台
»
化学化工区
»
分析
»
化学分析
»
请帮忙替这个化合物命格名!
4
1/1
返回列表
查看: 494 | 回复: 3
只看楼主
@他人
存档
新回复提醒
(忽略)
收藏
在APP中查看
wusiwl19
新虫
(初入文坛)
应助: 0
(幼儿园)
金币: 94
帖子: 24
在线: 33.7小时
虫号: 1239153
注册: 2011-03-20
专业: 临床药理
[
求助
]
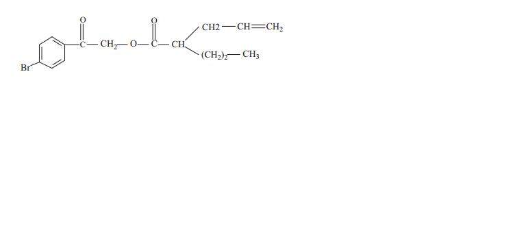
请帮忙替这个化合物命格名!
已有2人参与
请帮忙替这个化合物命格名!
未命名.JPG
回复此楼
» 猜你喜欢
AI 太可怕了,写基金时,提出想法,直接生成的文字比自己想得深远,还有科学性
已经有6人回复
有院领导为了换新车,用横向课题经费买了俩车
已经有9人回复
酰胺脱乙酰基
已经有13人回复
博士延得我,科研能力直往上蹿
已经有8人回复
同年申请2项不同项目,第1个项目里不写第2个项目的信息,可以吗
已经有4人回复
有时候真觉得大城市人没有县城人甚至个体户幸福
已经有10人回复
天津大学招2026.09的博士生,欢迎大家推荐交流(博导是本人)
已经有5人回复
遇见不省心的家人很难过
已经有22人回复
» 本主题相关价值贴推荐,对您同样有帮助:
大家看一下,怎么合成这个化合物?帮帮忙了!!!
已经有5人回复
请各位大神帮忙查询此化合物是否为新化合物
已经有6人回复
请问各位高手这个化合物应该如何命名
已经有4人回复
求助帮忙用scifinder查找下面两个化合物
已经有3人回复
请大家帮忙看一下几个芳胺类化合物的碱性大小
已经有3人回复
请帮忙看一下AFM图像,是单层(或多层)化合物吗?
已经有9人回复
请大家帮忙想想以下几种化合物的合成路线。
已经有7人回复
化合物分类和命名
已经有5人回复
多环化合物的中英文命名
已经有5人回复
求助杂环化合物命名问题
已经有3人回复
求大神帮忙翻译一下这个化合物的中文名称,谢谢!
已经有3人回复
如图,怎么对下面化合物的进行中文命名???
已经有5人回复
杂环化合物命名求助
已经有11人回复
帮忙看下这个化合物体内代谢后有哪些代谢产物
已经有4人回复
有机方面的命名,英文词缀
已经有14人回复
化合物做核磁氘代试剂不溶,求高手帮忙!
已经有13人回复
求助化合物命名
已经有6人回复
一个稠环化合物的命名,求助各位大神!!!
已经有9人回复
这个化合物英文的命名???
已经有4人回复
请各位虫友帮忙分析这几组化合物的偶极矩、极性。
已经有11人回复
核磁/质谱解谱高手帮忙看看这个化合物结构怎么解析
已经有12人回复
求金属有机配合物的命名方法
已经有3人回复
研究糖苷的同志们帮助命名一化合物
已经有7人回复
【求助】帮忙描述一下三个小分子化合物,只有一维核磁图!
已经有7人回复
【求助】帮忙比较一下几种化合物氧化性强弱关系,非常感谢!
已经有3人回复
1楼
2014-11-14 15:36:55
已阅
关注TA
给TA发消息
送TA红花
TA的回帖
archbishop
禁虫
(职业作家)
ACI: 2
应助: 190
(高中生)
贵宾: 3.213
金币: 13682.5
散金: 5394
红花: 150
沙发: 5
帖子: 4552
在线: 1148.3小时
虫号: 792812
注册: 2009-06-12
性别: GG
专业: 色谱分析
管辖:
分析
【答案】应助回帖
感谢参与,应助指数 +1
点击这里
赞
一下
回复此楼
雲幕低垂映桂子,江月留白問柳心。
2楼
2014-11-14 16:35:55
已阅
关注TA
给TA发消息
送TA红花
TA的回帖
klicking
至尊木虫
(著名写手)
ACI: 9
应助: 923
(博后)
贵宾: 0.652
金币: 19315.5
散金: 30
红花: 149
沙发: 1
帖子: 2337
在线: 513.3小时
虫号: 1426293
注册: 2011-10-03
性别: GG
专业: 药物分析
【答案】应助回帖
★ ★
感谢参与,应助指数 +1
archbishop: 金币+2, 辛苦了
2014-11-14 17:32:41
Pentoic acid, 2-ethenyl-, 2-(4-bromophenyl)-2-oxoethyl ester(参照855898-96-3)
赞
一下
回复此楼
归零
3楼
2014-11-14 17:25:41
已阅
关注TA
给TA发消息
送TA红花
TA的回帖
木易十日十月
金虫
(著名写手)
应助: 108
(高中生)
金币: 1718.9
散金: 1250
红花: 31
帖子: 1681
在线: 339.5小时
虫号: 3327934
注册: 2014-07-17
性别: GG
专业: 色谱分析
大学里就很不喜欢有机,看起来好麻烦
[ 发自手机版 http://muchong.com/3g ]
赞
一下
回复此楼
4楼
2014-11-14 17:28:12
已阅
关注TA
给TA发消息
送TA红花
TA的回帖
相关版块跳转
有机交流
有机资源
高分子
无机/物化
分析
催化
工艺技术
化工设备
石油化工
精细化工
电化学
环境
SciFinder/Reaxys
我要订阅楼主
wusiwl19
的主题更新
4
1/1
返回列表
信息提示
关闭
请填处理意见
关闭
确定