²é¿´: 314  |  »Ø¸´: 1

wangjiong_01

Ìú³æ (³õÈëÎÄ̳)

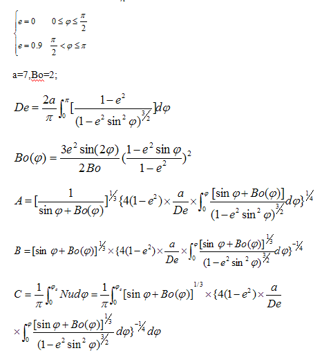
[ÇóÖú] matlab ×öº¯Êýͼ

Çó´óÉñ½â´ð£ºÄܸø³ÌÐò½â¾ö
¦Õ½Ç¶ÈµÄȡֵ·¶Î§[0,¦Ð],²½³¤¡£N¾¡Á¿´óЩ¡£¦Õc½Ç¶ÈÊÇsin¦Õ+Bo(¦Õ)=0µÄ¸ù

matlab ×öº¯Êýͼ
ÐüÉÍ.png
»Ø¸´´ËÂ¥

» ²ÂÄãϲ»¶

» ±¾Ö÷ÌâÏà¹Ø¼ÛÖµÌùÍÆ¼ö£¬¶ÔÄúͬÑùÓаïÖú:

ÒÑÔÄ   »Ø¸´´ËÂ¥   ¹Ø×¢TA ¸øTA·¢ÏûÏ¢ ËÍTAºì»¨ TAµÄ»ØÌû

wangjiong_01

Ìú³æ (³õÈëÎÄ̳)

Çó×öA  B  C Óë½Ç¶È¦ÕµÄº¯Êýͼ
2Â¥2014-11-12 22:09:52
ÒÑÔÄ   »Ø¸´´ËÂ¥   ¹Ø×¢TA ¸øTA·¢ÏûÏ¢ ËÍTAºì»¨ TAµÄ»ØÌû
Ïà¹Ø°æ¿éÌø×ª ÎÒÒª¶©ÔÄÂ¥Ö÷ wangjiong_01 µÄÖ÷Ìâ¸üÐÂ
×î¾ßÈËÆøÈÈÌûÍÆ¼ö [²é¿´È«²¿] ×÷Õß »Ø/¿´ ×îºó·¢±í
[¿¼ÑÐ] 081700»¯¹¤Ñ§Ë¶µ÷¼Á +3 ¡¾1¡¿ 2026-03-16 3/150 2026-03-19 23:40 by edmund7
[¿¼ÑÐ] ÉúÎïѧµ÷¼ÁÕÐÈË£¡£¡£¡ +3 ɽº£Ììá° 2026-03-17 4/200 2026-03-19 21:34 by ÔõôÊÍ»³
[¿¼ÑÐ] 0703»¯Ñ§µ÷¼Á £¬Áù¼¶Òѹý£¬ÓпÆÑо­Àú +12 êØÎõÙâ 2026-03-15 12/600 2026-03-19 19:42 by maocaozhuxi
[¿¼ÑÐ] 085600²ÄÁÏÓ뻯¹¤Çóµ÷¼Á +6 Ð÷ÐÒÓë×Ó 2026-03-17 6/300 2026-03-19 13:27 by houyaoxu
[¿¼ÑÐ] Ò»Ö¾Ô¸Äϲý´óѧ£¬327·Ö£¬²ÄÁÏÓ뻯¹¤085600 +3 Ncdx123456 2026-03-19 3/150 2026-03-19 13:18 by houyaoxu
[¿¼ÑÐ] 332Çóµ÷¼Á +3 ydfyh 2026-03-17 3/150 2026-03-19 10:14 by ¹¦·ò·è¿ñ
[½Ìʦ֮¼Ò] ½¹ÂÇ +9 Ë®±ùÔÂÔÂÒ°Íà 2026-03-13 13/650 2026-03-19 09:50 by otani
[¿¼ÑÐ] 297Çóµ÷¼Á +8 Ï·¾«µ¤µ¤µ¤ 2026-03-17 8/400 2026-03-18 14:30 by laoshidan
[¿¼ÑÐ] ÊÕ¸´ÊÔµ÷¼ÁÉú +4 ÓêºóÇïºÉ 2026-03-18 4/200 2026-03-18 14:16 by elevennnne
[¿¼ÑÐ] 312Çóµ÷¼Á +8 İå·Ï£ 2026-03-16 9/450 2026-03-18 12:39 by Linda Hu
[¿¼ÑÐ] 304Çóµ÷¼Á +12 СÐÜjoy 2026-03-14 13/650 2026-03-18 12:34 by Linda Hu
[¿¼ÑÐ] 0854£¬¼ÆËã»úÀàÕÐÊÕµ÷¼Á +3 ºúÀ±ÌÀ·ÅÌÇ 2026-03-15 6/300 2026-03-18 12:09 by Éϰ¶Éϰ¶¡­¡­..
[¿¼ÑÐ] ÉúÎïѧ071000 329·ÖÇóµ÷¼Á +3 ÎÒ°®ÉúÎïÉúÎﰮΠ2026-03-17 3/150 2026-03-18 10:12 by macy2011
[¿¼ÑÐ] ¿¼ÑÐÇóµ÷¼Á +3 éÙËÌ. 2026-03-17 4/200 2026-03-17 21:43 by ÓÐÖ»ÀêÅ«
[¿¼ÑÐ] 301Çóµ÷¼Á +4 A_JiXing 2026-03-16 4/200 2026-03-17 17:32 by ruiyingmiao
[¿¼ÑÐ] ¿¼Ñе÷¼Á +3 ä¿ya_~ 2026-03-17 5/250 2026-03-17 09:25 by Winj1e
[¿¼ÑÐ] 333Çóµ÷¼Á +3 ÎÄ˼¿Í 2026-03-16 7/350 2026-03-16 18:21 by ÎÄ˼¿Í
[¿¼ÑÐ] 304Çóµ÷¼Á +3 ÂüÊâ2266 2026-03-14 3/150 2026-03-16 16:39 by houyaoxu
[¿¼ÑÐ] 297Ò»Ö¾Ô¸ÉϽ»085600Çóµ÷¼Á +5 Ö¸¼â°ËǧÀï 2026-03-14 5/250 2026-03-14 17:26 by a²»Ò×
[¿¼ÑÐ] 266Çóµ÷¼Á +4 ѧԱ97LZgn 2026-03-13 4/200 2026-03-14 08:37 by zhukairuo
ÐÅÏ¢Ìáʾ
ÇëÌî´¦ÀíÒâ¼û