| 查看: 565 | 回复: 1 | |
hcyxd至尊木虫 (著名写手)
|
[求助]
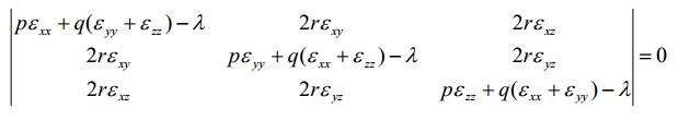
单晶硅的拉曼频移应力系数推导过程,关于晶格动力学特征方程推导
|
|
|
|
hcyxd至尊木虫 (著名写手)
|
|
|
2楼2015-04-17 10:30:57
|
|













回复此楼