| 查看: 2649 | 回复: 3 | |
[求助]
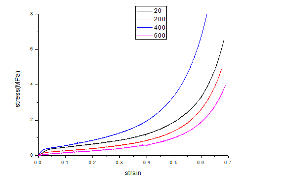
316L不锈钢金属纤维材料高温下的力学性能
|
|
|
|
|
a46260013500银虫 (小有名气)
|
|
|
2楼2016-01-13 15:08:00
|
|
|
3楼2016-01-14 19:27:27
|
|
|
4楼2016-03-22 11:34:38
|
|














回复此楼
麻烦问一下能不能向你们订制该纤维的烧结试件啊。最近想用金属烧结滤芯做过滤测试。网上都不给小批量出售。正好看到楼主在搞这个所以咨询下,我需要的是大约长度50mm直径140mm的,不知道楼主能不能帮忙给做几个