| 查看: 1519 | 回复: 9 | |||
[求助]
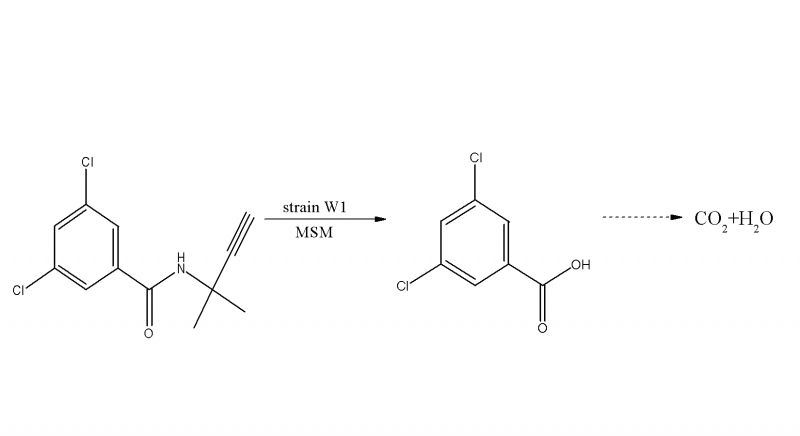
氯离子的释放的测量 已有2人参与
|
|||
|
|
|||
赵惠王新虫 (正式写手)
|
|||
![]() |
|||
|
2楼2014-10-28 14:41:57
|
|
||
cgjlove专家顾问 (著名写手)
|
|||
|
3楼2014-10-28 15:13:28
|
|
||
|
4楼2014-10-28 15:17:10
|
|
||
|
5楼2014-10-28 15:18:02
|
|
||
|
6楼2014-10-28 15:31:10
|
|
||
赵惠王新虫 (正式写手)
|
|||
![]() |
|||
|
7楼2014-10-28 20:36:04
|
|
||
|
8楼2014-10-28 20:49:03
|
|
||
赵惠王新虫 (正式写手)
|
|||
![]() |
|||
|
9楼2014-10-28 21:37:20
|
|
||
|
10楼2014-10-28 21:45:10
|
|













回复此楼

