版块导航
正在加载中...
客户端APP下载
论文辅导
申博辅导
登录
注册
帖子
帖子
用户
本版
应《网络安全法》要求,自2017年10月1日起,未进行实名认证将不得使用互联网跟帖服务。为保障您的帐号能够正常使用,请尽快对帐号进行手机号验证,感谢您的理解与支持!
24小时热门版块排行榜
>
论坛更新日志
(3461)
>
虫友互识
(296)
>
文献求助
(278)
>
导师招生
(216)
>
招聘信息布告栏
(66)
>
硕博家园
(59)
>
博后之家
(54)
>
论文道贺祈福
(47)
>
考博
(46)
>
休闲灌水
(39)
>
找工作
(28)
>
绿色求助(高悬赏)
(24)
>
基金申请
(23)
>
教师之家
(20)
>
论文投稿
(18)
>
SciFinder/Reaxys
(16)
小木虫论坛-学术科研互动平台
»
化学化工区
»
电化学
»
电分析测试
»
电化学阻抗频率图谱参数设置
9
1/1
返回列表
查看: 5125 | 回复: 20
查看全部回帖
@他人
存档
新回复提醒
(忽略)
收藏
在APP中查看
当前只显示满足指定条件的回帖,点击这里查看本话题的所有回帖
njutchen
铜虫
(初入文坛)
应助: 0
(幼儿园)
金币: 161
红花: 1
帖子: 34
在线: 16.3小时
虫号: 2318187
注册: 2013-03-04
专业: 环境污染化学
[
求助
]
电化学阻抗频率图谱参数设置
请问一下电化学阻抗频率图谱参数怎么设置?我看文献的时候,文献只是说“频率范围100 kHz-1mHz;交流电:10 mV”,也不知道怎么设置
$I_YD_7V[(7QVF6PT0R_WPC.jpg
回复此楼
» 收录本帖的淘帖专辑推荐
电池
» 猜你喜欢
请问现在还有电池材料方向的博导招人吗
已经有6人回复
大连工业大学招收储能电池方向博士1名
已经有0人回复
物理化学论文润色/翻译怎么收费?
已经有256人回复
《把心放慢,世界就会温柔起来》
已经有0人回复
钠离子硬碳负极扣式半电池组装都没有电流!!!
已经有2人回复
Ni元素XPS分析
已经有1人回复
广东以色列理工材料系能源与电子材料课题组——博士(以色列理工学位)
已经有2人回复
青岛大学化学化工学院分子测量学研究院2026年招收博士研究生
已经有0人回复
求一份origin2019以上版本的origin软件压缩包
已经有1人回复
» 本主题相关价值贴推荐,对您同样有帮助:
CHI中阻抗图作图及数据保存问题
已经有7人回复
求助电化学阻抗谱图的解析
已经有6人回复
阻抗测试时,频率范围是否有非常大的影响?
已经有5人回复
用CHI 660D电化学工作站测交流阻抗
已经有10人回复
从电化学阻抗图中可以得到什么信息?
已经有6人回复
电化学阻抗谱解析理论
已经有9人回复
电化学阻抗谱基本知识~
已经有1435人回复
交流阻抗图谱的分析
已经有15人回复
半导体电化学阻抗图谱分析
已经有25人回复
请问:CHI电化学工作站测试扣式电池的循环伏安和交流阻抗相关问题
已经有12人回复
【求助】CHI工作站测量电化学阻抗的参数设置
已经有7人回复
【求助】请教阻抗谱图分析
已经有7人回复
【求助】交流阻抗谱图分析
已经有8人回复
【讨论】关于阻抗频率
已经有8人回复
【求助】交流阻抗测试参数设置
已经有8人回复
请教:为什么交流阻抗图谱中要标出频率
已经有9人回复
1楼
2014-10-27 20:48:29
已阅
回复此楼
关注TA
给TA发消息
送TA红花
TA的回帖
njutchen
铜虫
(初入文坛)
应助: 0
(幼儿园)
金币: 161
红花: 1
帖子: 34
在线: 16.3小时
虫号: 2318187
注册: 2013-03-04
专业: 环境污染化学
引用回帖:
2楼
:
Originally posted by
Jackcd12
at 2014-10-27 22:33:28
大多数情况下,在恒电位模式下测阻抗。
设置的电位参考点:开路电位
ac幅值:5-10mV
频率:高频:1000 kHz, or 100 kHz
低频:1m Hz, or 0.01Hz
频率点数:50-60
频率分布:对数
等待时间:10-30 ...
那么,电位要设置么?就是0?
赞
一下
回复此楼
5楼
2014-10-28 09:46:46
已阅
回复此楼
关注TA
给TA发消息
送TA红花
TA的回帖
njutchen
铜虫
(初入文坛)
应助: 0
(幼儿园)
金币: 161
红花: 1
帖子: 34
在线: 16.3小时
虫号: 2318187
注册: 2013-03-04
专业: 环境污染化学
引用回帖:
4楼
:
Originally posted by
Jackcd12
at 2014-10-28 09:40:24
电化学中的开路电位都是指相对于参考电极的电位。
不是很明白,如果我选的是217型Ag/Agcl参比电极,那么我的电位应该是多少?
赞
一下
回复此楼
6楼
2014-10-28 09:54:24
已阅
回复此楼
关注TA
给TA发消息
送TA红花
TA的回帖
njutchen
铜虫
(初入文坛)
应助: 0
(幼儿园)
金币: 161
红花: 1
帖子: 34
在线: 16.3小时
虫号: 2318187
注册: 2013-03-04
专业: 环境污染化学
送红花一朵
引用回帖:
8楼
:
Originally posted by
带霜寒
at 2014-10-29 04:21:02
用的兰立科吧。。。劝你换个进口的仪器做吧。。不要浪费时间咯
我曾经用兰立科做了一个月就是没做出来。换了个PAR 立马做出来了
恩,是兰力科,可以问下是为什么吗?当时你们的参数是怎么设置的?我想借鉴一下,有种不到黄河心不死的感觉
赞
一下
回复此楼
9楼
2014-10-29 22:06:09
已阅
回复此楼
关注TA
给TA发消息
送TA红花
TA的回帖
njutchen
铜虫
(初入文坛)
应助: 0
(幼儿园)
金币: 161
红花: 1
帖子: 34
在线: 16.3小时
虫号: 2318187
注册: 2013-03-04
专业: 环境污染化学
引用回帖:
13楼
:
Originally posted by
jeehee
at 2014-10-30 16:01:50
非常感谢,50KHz还是可以测的。我们的工作站很怪,为了弄清它的性能我还特意做了一系列试验。说明书上的频率范围为0.001-100KHz,但试验后我发现,当低频不小于0.1时高频在100KHz时可以测;而当高频不大于80KHz时, ...
我昨天做了一下,也发现了同样的问题!
赞
一下
回复此楼
15楼
2014-10-31 08:59:13
已阅
回复此楼
关注TA
给TA发消息
送TA红花
TA的回帖
njutchen
铜虫
(初入文坛)
应助: 0
(幼儿园)
金币: 161
红花: 1
帖子: 34
在线: 16.3小时
虫号: 2318187
注册: 2013-03-04
专业: 环境污染化学
引用回帖:
14楼
:
Originally posted by
Jackcd12
at 2014-10-30 17:15:14
稍微带点技术用于科研的设备不选择国产的,你懂嘛。
你现在可以分二次测试同一个样品,先测试高频区:1K-100kHz,这个很快,然后测试低频区:10k-0.01Hz,数据处理时,可以合并这两段形成一个连续频段的数据,因为高 ...
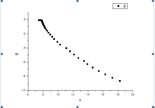
您好,我想问下啊,我们做EIS,频率范围是100KHZ-0.001HZ,然后处理数据的时候发现数据是分两段的,频率从82500-0.261,Z较小
如图1所示
从0.215-0.00121时,Z很大,如图2所示
1.png
2.png
赞
一下
回复此楼
17楼
2014-11-03 19:54:47
已阅
回复此楼
关注TA
给TA发消息
送TA红花
TA的回帖
njutchen
铜虫
(初入文坛)
应助: 0
(幼儿园)
金币: 161
红花: 1
帖子: 34
在线: 16.3小时
虫号: 2318187
注册: 2013-03-04
专业: 环境污染化学
引用回帖:
17楼
:
Originally posted by
njutchen
at 2014-11-03 19:54:47
您好,我想问下啊,我们做EIS,频率范围是100KHZ-0.001HZ,然后处理数据的时候发现数据是分两段的,频率从82500-0.261,Z较小
如图1所示
从0.215-0.00121时,Z很大,如图2所示
1.png
2.png
...
这是为什么啊?我做的燃料电池,通过拟合知道内阻
赞
一下
回复此楼
18楼
2014-11-03 19:59:11
已阅
回复此楼
关注TA
给TA发消息
送TA红花
TA的回帖
njutchen
铜虫
(初入文坛)
应助: 0
(幼儿园)
金币: 161
红花: 1
帖子: 34
在线: 16.3小时
虫号: 2318187
注册: 2013-03-04
专业: 环境污染化学
内容已删除
回复此楼
20楼
2014-11-04 09:27:47
已阅
回复此楼
关注TA
给TA发消息
送TA红花
TA的回帖
相关版块跳转
有机交流
有机资源
高分子
无机/物化
分析
催化
工艺技术
化工设备
石油化工
精细化工
电化学
环境
SciFinder/Reaxys
我要订阅楼主
njutchen
的主题更新
9
1/1
返回列表
如果回帖内容含有宣传信息,请如实选中。否则帐号将被全论坛禁言
普通表情
龙
兔
虎
猫
百度网盘
|
360云盘
|
千易网盘
|
华为网盘
在新窗口页面中打开自己喜欢的网盘网站,将文件上传后,然后将下载链接复制到帖子内容中就可以了。
信息提示
关闭
请填处理意见
关闭
确定