| ²é¿´: 307 | »Ø¸´: 1 | ||
ÁùÔµÄÍÃ×Ó½ð³æ (СÓÐÃûÆø)
|
[ÇóÖú]
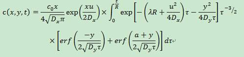
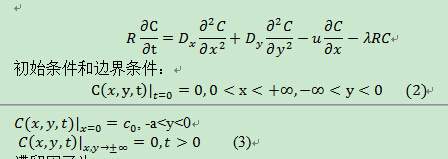
ÇóÖú£º³ÌÐòÒ»Ö±ÔËÐв»³öÀ´£¬¼±Çó
|
|
|
|
||
walk1997½ð³æ (ÖøÃûдÊÖ)
|
|
|
|
2Â¥2014-10-21 20:20:01
|
|













»Ø¸´´ËÂ¥
10