±±¾©Ê¯ÓÍ»¯¹¤Ñ§Ôº2026ÄêÑо¿ÉúÕÐÉú½ÓÊÕµ÷¼Á¹«¸æ
²é¿´: 7338  |  »Ø¸´: 1

ÏèÓÚÌìÏÂ

Òø³æ (ÕýʽдÊÖ)

[ÇóÖú] Ö÷Ó¦±äÔõôËã°¡£¿Çó½â´ð ÒÑÓÐ1È˲ÎÓë

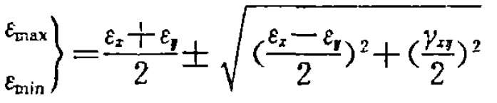
Ò»¸öÆ½ÃæÓ¦Á¦×´Ì¬£¬ÈçºÎx·½ÏòÓ¦±ä0.4%£¬xy·½Ïò¼ôÓ¦±ä0.693%£¬²»¿¼ÂDz´ËÉЧӦÈÏΪy·½ÏòÓ¦±äΪ0.ÄÇ´ËʱµÄµÚÒ»Ö÷Ó¦±äÊǶàÉÙ°¡£¿
ÎÒÓÃÏÂʽËãµÄ0.60%
µ«ÊÇÒ»¸öÎÄÏ×ÀïÃæÊÇ0.56%
µ°ÌÛ¡­¡­

Ö÷Ó¦±äÔõôËã°¡£¿Çó½â´ð
ÎÞ±êÌâ.jpg
»Ø¸´´ËÂ¥

» ²ÂÄãϲ»¶

» ±¾Ö÷ÌâÏà¹Ø¼ÛÖµÌùÍÆ¼ö£¬¶ÔÄúͬÑùÓаïÖú:

ÒÑÔÄ   »Ø¸´´ËÂ¥   ¹Ø×¢TA ¸øTA·¢ÏûÏ¢ ËÍTAºì»¨ TAµÄ»ØÌû

peterflyer

ľ³æÖ®Íõ (ÎÄѧ̩¶·)

peterflyer


¡¾´ð°¸¡¿Ó¦Öú»ØÌû

¡ï ¡ï ¡ï ¡ï ¡ï
¸Ðл²ÎÓ룬ӦÖúÖ¸Êý +1
ÏèÓÚÌìÏÂ: ½ð±Ò+5 2014-11-04 23:04:52
¸Ð¾õÊýÖµ¾Í²îÔÚÊÇ·ñ¿¼ÂDz¨ËɱȵÄÓ°ÏìÁË¡£Èç¹ûÆäΪ0.3£¬¦Åy=-0.3*¦Åx=-0.12%
¦Å=£¨0.4%-0.12%£©/2¡Àsqrt[(0.4%+0.12%)^2+0.693%^2]/2
  = 0.14%¡À0.4332%
¹ÊÓЦÅmax=0.5732%  ;  ¦Åmin=-0.2932%
Èç´ËÒ»À´¾ÍºÜ½Ó½ü´ð°¸ÁË¡£¿ÉÄܲ¨ËɱÈÈ¡µÄÓÐЩС£¬ÈôÈ¡0.31»ò0.32¾Í»ù±¾Óë´ð°¸Ïà·ûÁË¡£
Â¥Ö÷ÒâÏÂÈçºÎ£¿
2Â¥2014-10-21 09:16:35
ÒÑÔÄ   »Ø¸´´ËÂ¥   ¹Ø×¢TA ¸øTA·¢ÏûÏ¢ ËÍTAºì»¨ TAµÄ»ØÌû
Ïà¹Ø°æ¿éÌø×ª ÎÒÒª¶©ÔÄÂ¥Ö÷ ÏèÓÚÌìÏ µÄÖ÷Ìâ¸üÐÂ
×î¾ßÈËÆøÈÈÌûÍÆ¼ö [²é¿´È«²¿] ×÷Õß »Ø/¿´ ×îºó·¢±í
[¿¼ÑÐ] ²ÄÁÏ334Çóµ÷¼Á +10 Eecho# 2026-04-03 10/500 2026-04-04 14:58 by liuhaixu
[¿¼ÑÐ] ÍÁľ304Çóµ÷¼Á +4 ÍÃͻͻͻ£¬ 2026-03-31 4/200 2026-04-04 13:34 by 1753564080
[¿¼ÑÐ] Çóµ÷¼Á +4 Hllºú 2026-04-04 4/200 2026-04-04 13:17 by ms629
[¿¼ÑÐ] 283·ÖÇóµ÷¼Á +4 ÊÔÊÔ¿´ß 2026-04-04 4/200 2026-04-04 13:00 by tujia213
[¿¼ÑÐ] »¯¹¤Çóµ÷¼Á +11 ÀóÏã֥ʿҬÄÌ 2026-04-03 11/550 2026-04-03 22:06 by à£à£à£0119
[¿¼ÑÐ] 322Çóµ÷¼Á +4 FZAC123 2026-04-03 4/200 2026-04-03 20:55 by zhq0425
[¿¼ÑÐ] 0856£¬269·ÖÇóµ÷¼Á +15 ÓÐѧÉϾÍÐÐÇóÇóÁ 2026-03-30 18/900 2026-04-03 16:50 by melodiousnow
[¿¼ÑÐ] 338Çóµ÷¼Á +4 zzz£¬£¬r 2026-04-03 4/200 2026-04-03 16:39 by lijunpoly
[¿¼ÑÐ] ²ÄÁÏר˶322·Ö +13 ¹þ¹þ¹þºðºðºð¹þ 2026-04-01 13/650 2026-04-03 16:08 by ŶŶ123
[¿¼ÑÐ] ²ÄÁÏÓ뻯¹¤306·ÖÕÒµ÷¼Á +22 ²×º£ÇáÖÛe 2026-04-02 23/1150 2026-04-03 15:08 by hypershenger
[¿¼ÑÐ] 324Çóµ÷¼Á +4 ÏëÉÏѧÇóµ÷ 2026-04-03 4/200 2026-04-03 14:41 by rongligao
[¿¼ÑÐ] 372·Ö²ÄÁÏÓ뻯¹¤£¨085600£©Ò»Ö¾Ô¸ºþÄÏ´óѧÇóµ÷¼Á +5 À¶¼ãƬ 2026-04-02 6/300 2026-04-02 21:37 by dongzh2009
[¿¼ÑÐ] Ò»Ö¾Ô¸ÏÃÃÅ´óѧ»¯Ñ§¹¤³Ì£¨×¨Ë¶£©-Êý¶þÓ¢¶þ406·Ö-Çóµ÷¼Á +5 Ïô󻯹¤ 2026-04-01 5/250 2026-04-02 10:03 by jp9609
[¿¼ÑÐ] ʡ˫һÁ÷ÖØµãÒ»±¾´óѧÕÐÊÕµ÷¼Á +4 wwwwffffff 2026-03-31 7/350 2026-04-01 15:23 by wwwwffffff
[¿¼ÑÐ] 311Çóµ÷¼Á +10 ÀîÜÆÐÂ1 2026-03-31 10/500 2026-04-01 14:38 by chenqifeng666
[¿¼ÑÐ] Ò»Ö¾Ô¸±±¾©¿Æ¼¼´óѧ085601²ÄÁϹ¤³ÌÓ¢Ò»Êý¶þ³õÊÔ×Ü·Ö335Çóµ÷¼Á +5 Ë«ÂíβƦÀϰå2 2026-03-31 5/250 2026-04-01 09:04 by oooqiao
[¿¼ÑÐ] 080500-315·Ö¸´ÊÔµ÷¼Á +9 Éϰ¶3821 2026-03-31 9/450 2026-03-31 17:29 by ÌÆãå¶ù
[¿¼ÑÐ] ²ÄÁϹ¤³Ìר˶Çóµ÷¼Á +10 hyl3153942 2026-03-29 10/500 2026-03-31 16:31 by hypershenger
[¿¼ÑÐ] ¼ª´óÉúÎïѧ326·ÖÇóµ÷¼Á +3 sunnyupup 2026-03-31 3/150 2026-03-31 09:28 by longlotian
[¿¼ÑÐ] 279Çóµ÷¼Á +4 µûÎèÇáÈÆ 2026-03-29 4/200 2026-03-29 09:45 by laoshidan
ÐÅÏ¢Ìáʾ
ÇëÌî´¦ÀíÒâ¼û