| 查看: 1761 | 回复: 5 | ||
是水货木虫 (著名写手)
|
[求助]
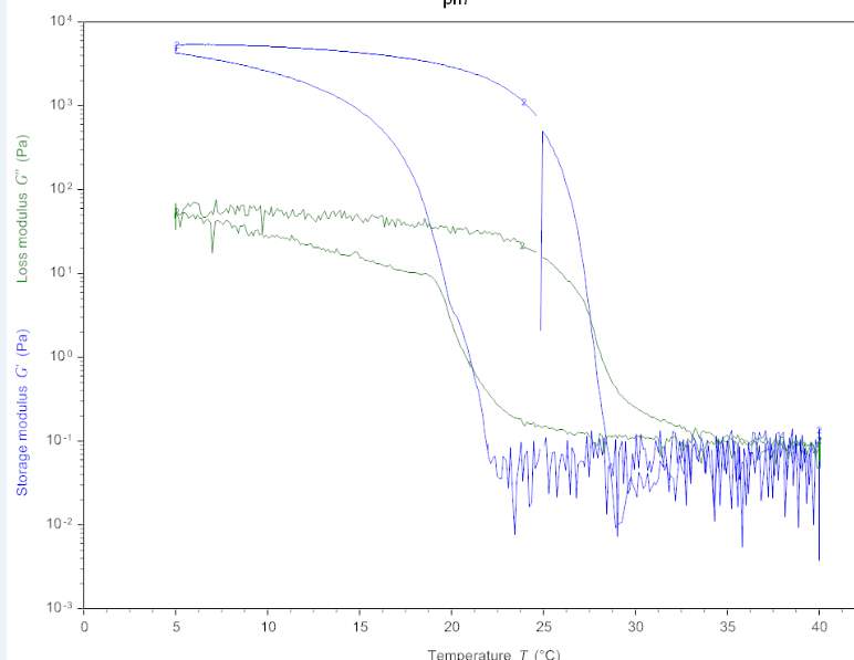
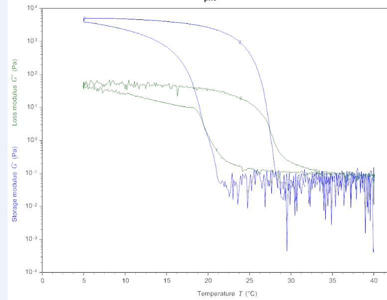
明胶流变的储能模量和耗能模量图为什么这么乱。求解答。 已有1人参与
|
|
|
|
||
dachun263031木虫 (职业作家)
斑马斑马
|
||
|
2楼2014-09-29 11:13:13
|
|
|
是水货木虫 (著名写手)
|
||
|
3楼2014-09-29 14:16:27
|
|
|
|
★ ★ ★ ★ ★ ★ ★
感谢参与,应助指数 +1 是水货(zybpxy代发): 金币+3, 鼓励应助·· 麻烦继续跟踪此贴哦 2014-09-30 21:10:07 是水货: 金币+4, ★★★★★最佳答案, 4 2015-01-26 22:19:15
» 本帖已获得的红花(最新10朵) |
||
|
4楼2014-09-30 14:12:54
|
|
|
是水货木虫 (著名写手)
|
||
|
5楼2014-09-30 19:46:44
|
|
|
|
★ ★ ★
是水货(答非所问代发): 金币+3 2014-10-09 09:33:02
|
||
|
6楼2014-10-07 18:58:32
|
|













回复此楼
是水货
10