| ²é¿´: 776 | »Ø¸´: 4 | ||
tg2010½ð³æ (СÓÐÃûÆø)
|
[ÇóÖú]
Çë½Ì×ÔÏà¹Øº¯ÊýÈçºÎ±à³É´úÂë¡£ ÒÑÓÐ1È˲ÎÓë
|
|
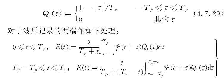
Àí½â²»ÁË×ÔÏà¹ØÀïµÄ¦ÓÒªÔõô¶¨Òå¡£Çë½Ì |
» ²ÂÄãϲ»¶
293Çóµ÷¼Á
ÒѾÓÐ12È˻ظ´
Ò»Ö¾Ô¸ÖÐÄÏ´óѧ 0855 »úе 286 Çóµ÷¼Á
ÒѾÓÐ7È˻ظ´
»¯Ñ§070300 Çóµ÷¼Á
ÒѾÓÐ11È˻ظ´
346·Ö£¬¹¤¿Æ0854Çóµ÷¼Á£¬×¨Ë¶
ÒѾÓÐ6È˻ظ´
»¯¹¤Ñ§Ë¶294·Ö£¬Çóµ¼Ê¦ÊÕÁô
ÒѾÓÐ3È˻ظ´
297¹¤¿Æ£¬Çóµ÷¼Á?
ÒѾÓÐ7È˻ظ´
Ò»Ö¾Ô¸085802 323·ÖÇóµ÷¼Á
ÒѾÓÐ11È˻ظ´
ɽ¶«Ë«·ÇԺУ¿¼ºË³¬¼¶ÎÞµ×Ïߣ¬Áìµ¼ÐÒÔÖÀÖ»ö£¬½ÌʦÔâÑê¿Ö
ÒѾÓÐ7È˻ظ´
279ѧ˶ʳƷרҵÇóµ÷¼ÁԺУ
ÒѾÓÐ17È˻ظ´
Ò»Ö¾Ô¸°²´óÉúÎïѧ07³õÊÔ322¡¢±¾¿Æ¶þ±¾¡¢µ÷¼ÁÇóÖú
ÒѾÓÐ9È˻ظ´
» ±¾Ö÷ÌâÏà¹Ø¼ÛÖµÌùÍÆ¼ö£¬¶ÔÄúͬÑùÓаïÖú:
ÒÑÓÐËÄάÊýÖµ£¬Çë½Ìmatlab»æÖÆËÄάͼµÄ´úÂ룬¶àл¶àл£¡
ÒѾÓÐ10È˻ظ´
±¾È˲éÁËÏÂÔ´´úÂ룬Çë½ÌÎÊÌâ
ÒѾÓÐ10È˻ظ´
˰ïæ°ÉÎÒÕâ¸ö¹«Ê½ÓÃCÓïÑÔ±í´ï³öÀ´£¬ÎÒ°ÑÎÒµÄÒ»°ë½ð±Ò·Ö¸øÄã
ÒѾÓÐ7È˻ظ´
¹ØÓÚtowhee »Ø´ðzhang_jajµÄÎÊÌâ
ÒѾÓÐ44È˻ظ´
tg2010
½ð³æ (СÓÐÃûÆø)
- Ó¦Öú: 9 (Ó×¶ùÔ°)
- ½ð±Ò: 642.7
- É¢½ð: 150
- ºì»¨: 2
- Ìû×Ó: 167
- ÔÚÏß: 69Сʱ
- ³æºÅ: 1415311
- ×¢²á: 2011-09-24
- רҵ: Ë®ÎÄ¡¢Ë®×ÊÔ´
2Â¥2014-09-30 13:49:10
|
±¾ÌûÄÚÈݱ»ÆÁ±Î |
3Â¥2014-10-01 00:47:38
tg2010
½ð³æ (СÓÐÃûÆø)
- Ó¦Öú: 9 (Ó×¶ùÔ°)
- ½ð±Ò: 642.7
- É¢½ð: 150
- ºì»¨: 2
- Ìû×Ó: 167
- ÔÚÏß: 69Сʱ
- ³æºÅ: 1415311
- ×¢²á: 2011-09-24
- רҵ: Ë®ÎÄ¡¢Ë®×ÊÔ´
|
Êǵģ¬ÎÒÉÔ΢°ÑÔ·½³ÌÐÞ¸ÄÁËһϡ£ÏÖÔÚÊÇ E = @(x)(quadv(@(u)((signal1(round(u)+x))^2*(1-abs(u)/Tps)/Tps),-Tps,Tps)); for i=1:length(x2) Ex(i,k) = E(x2(i)); end ÏÖÔÚTpsÊdz£Ê죬uÊÇ»ý·Ö£¬ÉÏÏÂÏÞ¶¼Êdz£Ê죬xÊÇ×Ô±äÁ¿£» º¯Êý¾ä±úÏÖÔÚÊÇÄÜÊäÈëÁË¡£¾ÍÊÇ×÷Ñ»·´úÈëÊý¾Ý»á³öÎÊÌ⣬²»ÖªµÀÊDz»ÊǶ¨Òå¾ä±úд´íÁË¡£ |
4Â¥2014-10-01 12:55:42
tg2010
½ð³æ (СÓÐÃûÆø)
- Ó¦Öú: 9 (Ó×¶ùÔ°)
- ½ð±Ò: 642.7
- É¢½ð: 150
- ºì»¨: 2
- Ìû×Ó: 167
- ÔÚÏß: 69Сʱ
- ³æºÅ: 1415311
- ×¢²á: 2011-09-24
- רҵ: Ë®ÎÄ¡¢Ë®×ÊÔ´
5Â¥2014-10-01 14:26:11













»Ø¸´´ËÂ¥
10