| 查看: 1793 | 回复: 7 | |||
pipilong1977
|
[求助]
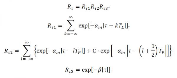
谁帮忙吧我这个公式用C语言表达出来,我把我的一半金币分给你
|
计算机、学术 | 学习知识 |
» 猜你喜欢
297求调剂
已经有16人回复
326分,一志愿沪9,求生物学调剂
已经有4人回复
288求调剂,一志愿华南理工大学071005
已经有3人回复
304求调剂
已经有13人回复
调剂
已经有18人回复
293调剂
已经有4人回复
338求调剂
已经有7人回复
263求调剂
已经有3人回复
求调剂
已经有15人回复
机械工程264学硕求调剂
已经有3人回复
» 本主题相关价值贴推荐,对您同样有帮助:
传说中的一页纸博士论文,或许能从中得到些什么?
已经有16人回复
传说中的一页纸博士论文!
已经有8人回复
[Warald美国职业谈]为PhD正名-说说phd博士就业的一些问题 (全文)
已经有21人回复
【恶搞】科研版 西游记 --------转载自“硬着头皮闯江湖”的百度空间
已经有8人回复
【原创】我考上2010年清华文科博士的经验总结
已经有210人回复

2楼2012-10-19 15:45:26

3楼2012-10-19 16:14:28

4楼2012-10-19 16:15:27
pipilong1977
银虫 (小有名气)
- 应助: 1 (幼儿园)
- 金币: 204.2
- 散金: 655
- 帖子: 271
- 在线: 60小时
- 虫号: 2028624
- 注册: 2012-09-25
- 性别: GG
- 专业: 计算机应用技术
5楼2012-10-19 16:50:54
【答案】应助回帖
★ ★ ★ ★ ★ ★ ★ ★ ★ ★ ★ ★ ★ ★ ★ ★ ★ ★ ★ ★ ★ ★ ★ ★ ★ ★ ★ ★ ★ ★ ★ ★
pipilong1977: 金币+30, ★★★很有帮助 2012-10-19 20:52:10
xzhdty: 金币+2, 谢谢 2012-10-20 08:52:52
pipilong1977: 金币+30, ★★★很有帮助 2012-10-19 20:52:10
xzhdty: 金币+2, 谢谢 2012-10-20 08:52:52
|
额。。楼主,我VC++都没装,不好意思转不了。我只能写一段matlab的程序, R1 = 0; R2 = 0; for k = -inf:inf R1 = R1 + exp(-am*abs(t-tl)); end for l = -inf:inf R2 = R2 + exp(-am*abs(t-tp)) + C*exp(-am*abs(t-(l+1/2)*tp)); end R3 = exp(-b*abs(t)); R = R1 * R2 * R3; |

6楼2012-10-19 17:16:53
|
本帖内容被屏蔽 |
7楼2012-10-23 13:24:03
|
本帖内容被屏蔽 |
8楼2013-03-07 11:40:48














回复此楼
