版块导航
正在加载中...
客户端APP下载
论文辅导
调剂小程序
登录
注册
帖子
帖子
用户
本版
应《网络安全法》要求,自2017年10月1日起,未进行实名认证将不得使用互联网跟帖服务。为保障您的帐号能够正常使用,请尽快对帐号进行手机号验证,感谢您的理解与支持!
24小时热门版块排行榜
>
论坛更新日志
(413)
>
虫友互识
(39)
>
公派出国
(7)
>
论文投稿
(7)
>
休闲灌水
(5)
>
考博
(4)
>
找工作
(4)
>
考研
(4)
>
论文道贺祈福
(2)
>
基金申请
(2)
>
导师招生
(1)
>
博后之家
(1)
>
有机资源
(1)
>
晶体
(1)
>
外文书籍求助
(1)
>
教师之家
(1)
小木虫论坛-学术科研互动平台
»
学术交流区
»
论文投稿
»
论文写作
»
如何做Y轴为分类轴的散点图
2
1/1
返回列表
查看: 1314 | 回复: 1
只看楼主
@他人
存档
新回复提醒
(忽略)
收藏
在APP中查看
waiwaidou_1983
铜虫
(小有名气)
应助: 0
(幼儿园)
金币: 31.3
散金: 703
红花: 3
帖子: 275
在线: 43.8小时
虫号: 475342
注册: 2007-12-07
性别:
MM
专业: 植物生理与生化
[
求助
]
如何做Y轴为分类轴的散点图
已有1人参与
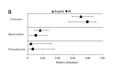
哪位大侠会做Y轴为分类轴的散点图,如下:
无标题.png
回复此楼
» 猜你喜欢
依托企业入选了国家启明计划青年人才。有无高校可以引进的。
已经有14人回复
表哥与省会女结婚,父母去帮带孩子被省会女气回家生重病了
已经有11人回复
江汉大学解明教授课题组招博士研究生/博士后
已经有3人回复
AI 太可怕了,写基金时,提出想法,直接生成的文字比自己想得深远,还有科学性
已经有11人回复
同年申请2项不同项目,第1个项目里不写第2个项目的信息,可以吗
已经有10人回复
依托企业入选了国家启明计划青年人才。有无高校可以引进的。
已经有11人回复
» 本主题相关价值贴推荐,对您同样有帮助:
如何用sigmaplot做双y轴(甚至3个y轴的)柱状图?
已经有5人回复
求助!grapher 9 分类散点图 点元属性修改
已经有4人回复
如何用origin8.5做双y轴,多组的图形
已经有5人回复
SPSS中如何绘制下面的散点图呢
已经有3人回复
如何用origin画这样的3D散点图?
已经有7人回复
急问这个剂量效应散点图如何做?
已经有4人回复
怎么在2003版的excel里面做两个X轴一个Y轴的图形,求高手支招
已经有11人回复
请问这个图是怎么做出来的(一个X轴 三个y轴),最好用origin 说明一下
已经有5人回复
origin做的散点图,连成平滑曲线,为什么空着一段呢?
已经有11人回复
如何用Matlab画矩阵的散点图?
已经有3人回复
问一下origin作图里面有几个数据点拟合直线求和Y轴交点如何做
已经有9人回复
如何用ORIGIN软件做出带有标准偏差的双Y轴柱状图?
已经有4人回复
如何用oringin画出如图的散点图??
已经有6人回复
怎么在Origin画出的散点图上加一根y=1的直线把点子分开?
已经有10人回复
Excel2007作的图怎么加Y轴数据的误差?
已经有3人回复
【求助】想把两张图坐在一张图中,要求双Y轴?请问怎没做?
已经有7人回复
【求助】这样的散点图如何得到呢?
已经有7人回复
origin图像在Y轴显示不全
已经有6人回复
【求助】如何实验散点图,求取曲线上不同时刻的斜率?
已经有7人回复
1楼
2014-09-24 16:37:38
已阅
回复此楼
关注TA
给TA发消息
送TA红花
TA的回帖
wyliu_as
铁杆木虫
(著名写手)
应助: 109
(高中生)
金币: 7242
散金: 1964
红花: 57
帖子: 2944
在线: 301.8小时
虫号: 2869777
注册: 2013-12-13
性别: GG
专业: 金属材料的合金相、相变及
【答案】应助回帖
楼主会用X轴作为分类轴画图的话,在origin里有X-Y轴交换功能,可以去试试。
赞
一下
回复此楼
请大家去我的版面看看,正在收集开源期刊,http://emuch.net/bbs/myf.php?ffid=282
2楼
2014-10-01 12:01:59
已阅
回复此楼
关注TA
给TA发消息
送TA红花
TA的回帖
相关版块跳转
论文投稿
SCI期刊点评
中文期刊点评
论文道贺祈福
论文翻译
基金申请
学术会议
会议与征稿布告栏
我要订阅楼主
waiwaidou_1983
的主题更新
2
1/1
返回列表
如果回帖内容含有宣传信息,请如实选中。否则帐号将被全论坛禁言
普通表情
龙
兔
虎
猫
百度网盘
|
360云盘
|
千易网盘
|
华为网盘
在新窗口页面中打开自己喜欢的网盘网站,将文件上传后,然后将下载链接复制到帖子内容中就可以了。
信息提示
关闭
请填处理意见
关闭
确定