| 查看: 619 | 回复: 3 | |
mzlwait木虫 (正式写手)
|
[求助]
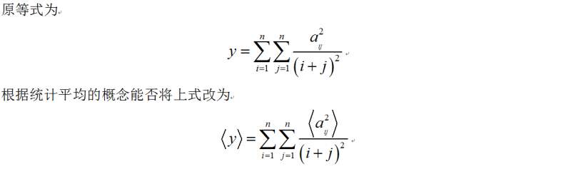
根据统计平均的概念对等式进行变换? 已有1人参与
|
|
|
|
ruolingzhang新虫 (正式写手)
|
|
|
2楼2014-09-23 18:31:42
|
|
mzlwait木虫 (正式写手)
|
|
|
3楼2014-09-23 18:57:53
|
|
ruolingzhang新虫 (正式写手)
|
|
|
4楼2014-09-23 22:29:20
|
|














回复此楼
mzlwait
10