版块导航
正在加载中...
客户端APP下载
论文辅导
调剂小程序
登录
注册
帖子
帖子
用户
本版
应《网络安全法》要求,自2017年10月1日起,未进行实名认证将不得使用互联网跟帖服务。为保障您的帐号能够正常使用,请尽快对帐号进行手机号验证,感谢您的理解与支持!
24小时热门版块排行榜
>
论坛更新日志
(3431)
>
虫友互识
(1653)
>
休闲灌水
(745)
>
导师招生
(86)
>
文献求助
(62)
>
基金申请
(33)
>
论文投稿
(33)
>
考博
(30)
>
论文道贺祈福
(29)
>
微米和纳米
(27)
>
硕博家园
(27)
>
考研
(27)
>
博后之家
(26)
>
教师之家
(26)
>
公派出国
(19)
>
找工作
(16)
小木虫论坛-学术科研互动平台
»
材料区
»
晶体
»
设计培养
»
求助查询两化合物是否已发过晶体数据
2
1/1
返回列表
查看: 310 | 回复: 1
只看楼主
@他人
存档
新回复提醒
(忽略)
收藏
在APP中查看
cromok
金虫
(小有名气)
应助: 0
(幼儿园)
金币: 790.4
红花: 1
帖子: 145
在线: 47.8小时
虫号: 1930290
注册: 2012-08-08
专业: 生化分析及生物传感
[
求助
]
求助查询两化合物是否已发过晶体数据
已有1人参与
向虫友们求助
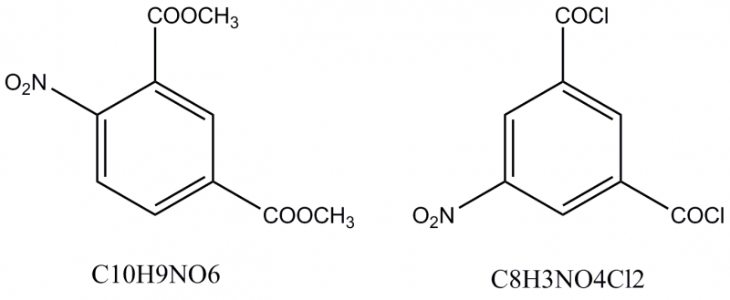
帮忙查询下CCDC,看这两个化合物是否已有晶体数据报道过?
回复此楼
» 猜你喜欢
中南大学易小艺课题组诚招2026申请-考核制博士生
已经有0人回复
海南师范大学招收化学博士(光电功能材料课题组招收博士研究生)
已经有11人回复
无机化学论文润色/翻译怎么收费?
已经有258人回复
求助几个团簇的cif
已经有0人回复
急求该反应的详细机理
已经有5人回复
【Ei | Scopus 双检索】2026年智能交通与未来出行国际会议(CSTFM 2026)
已经有0人回复
【EI|Scopus 双检索】2026年第六届机器人与人工智能国际会议(JCRAI 2026)
已经有0人回复
zotero的advanced material模板没有更新,有人有新版的cls文件吗
已经有2人回复
【高校联合举办】2026年第五届服务机器人国际会议(ICoSR 2026)
已经有0人回复
» 本主题相关价值贴推荐,对您同样有帮助:
做了24个新化合物,有一个晶体,做了杀菌活性,投什么杂志比较好?
已经有9人回复
求助有机小分子化合物单晶培养的详细注意事项!
已经有14人回复
请用CCDC查一下这个化合物的单晶数据和发表文献
已经有4人回复
求助化合物单晶有没有发过文章
已经有3人回复
新化合物单晶一个数据还可以,没有别的或许等数据,可以投什么杂志呢
已经有16人回复
晶体化合物荧光性质的问题,恳求高手指点
已经有8人回复
为什么长出来的晶体是离子型化合物?
已经有14人回复
有机硼化合物晶体培养
已经有11人回复
硕士论文里如何写有机化合物晶体?主要内容有哪些?
已经有4人回复
求助一个无机化合物查询的软件
已经有7人回复
做出的药物溶剂化物晶体,高手帮忙搜一下有没有发表过
已经有8人回复
请帮忙用CCDC查这个化合物是否有单晶,谢谢!
已经有3人回复
需要金属间化合物的晶体结构做计算用,查不到原结构,希望大家帮忙!!!谢谢
已经有4人回复
求助化合物 1,3-diamino-2,4,6-trinitrobenzene (DATB, C6H5N5O6) 的 cif 文件
已经有4人回复
谁能帮我用CCDC查一下化合物的单晶数据
已经有10人回复
【求助】请教高手这3个化合物是否重了,定有重谢!
已经有3人回复
【求助】如何查到一个已知化合物的晶体结构数据?
已经有7人回复
【资源】发一些查询化合物性质的网站
已经有11人回复
【请教】求怎么在CCDC上查询一个有机化合物的晶体数据及结构?
已经有5人回复
【请教】怎样查询一个化合物单晶数据未被报道?
已经有4人回复
【求助】请帮忙用CCDC查一下这两个化合物是否有单晶,谢谢!
已经有7人回复
1楼
2014-09-10 13:46:54
已阅
回复此楼
关注TA
给TA发消息
送TA红花
TA的回帖
huang1987
木虫
(著名写手)
金属有机之烂漫小猪
应助: 104
(高中生)
金币: 660.8
散金: 1300
红花: 7
帖子: 2176
在线: 81.9小时
虫号: 673111
注册: 2008-12-12
性别: GG
专业: 金属有机化学
【答案】应助回帖
★ ★ ★ ★ ★ ★ ★ ★ ★ ★
感谢参与,应助指数 +1
cromok: 金币+10,
★
有帮助
2014-10-12 19:50:01
有scienfinder吗,用它查下不就的了嘛
赞
一下
回复此楼
有爱才有希望!
2楼
2014-09-10 16:37:20
已阅
回复此楼
关注TA
给TA发消息
送TA红花
TA的回帖
相关版块跳转
材料综合
材料工程
微米和纳米
晶体
金属
无机非金属
生物材料
功能材料
复合材料
我要订阅楼主
cromok
的主题更新
2
1/1
返回列表
如果回帖内容含有宣传信息,请如实选中。否则帐号将被全论坛禁言
普通表情
龙
兔
虎
猫
百度网盘
|
360云盘
|
千易网盘
|
华为网盘
在新窗口页面中打开自己喜欢的网盘网站,将文件上传后,然后将下载链接复制到帖子内容中就可以了。
信息提示
关闭
请填处理意见
关闭
确定