| 查看: 410 | 回复: 1 | ||
xzhfood荣誉版主 (著名写手)
|
[求助]
有关羟基保护 已有1人参与
|
|
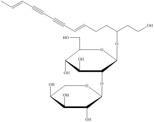
分到一个稀炔糖苷化合物,有一个手性碳,想水解掉糖,再保护末端羟基,然后做mosher反应确定绝对构型。 末端羟基保护以前没有做过,请大家指点一下如何做?或者提供一下参考文献,谢谢。 untitled.jpg |
» 猜你喜欢
294求调剂
已经有8人回复
324求调剂
已经有14人回复
285求调剂
已经有6人回复
一志愿上海大学生物学346
已经有3人回复
322求调剂:一志愿湖南大学 材料与化工(085600),已过六级。
已经有16人回复
调剂
已经有10人回复
283求调剂
已经有7人回复
0703调剂
已经有6人回复
288环境专硕,求调材料方向
已经有6人回复
求调剂
已经有5人回复
» 本主题相关价值贴推荐,对您同样有帮助:
对苯二酚羟基保护
已经有3人回复
对苯二酚保护羟基
已经有3人回复
有关仲羟基保护
已经有9人回复
求助TMSCl保护羟基的问题
已经有7人回复
选择性的保护羟基
已经有6人回复
糖羟基的脱保护
已经有21人回复
THP羟基保护的问题
已经有12人回复
关于羟基保护剂
已经有3人回复
关于羧基,羟基同时存在时,羟基保护的一个问题
已经有7人回复
关于羧基存在下的羟基保护
已经有16人回复
羟基保护方法的选择
已经有6人回复
三甲基氯硅烷羟基保护
已经有30人回复
酚羟基保护问题
已经有21人回复
α羟基酸中羟基的保护
已经有4人回复
做过THP保护酚羟基的请进
已经有20人回复
请问大家对于醇羟基的保护和去保护的方法
已经有3人回复
有没有用TMS氯保护过羟基的,交流下
已经有20人回复
★★★关于三甲基氯硅烷保护羟基的问题★★★
已经有4人回复
【讨论】寻找一个合适的羟基保护基
已经有16人回复
【求助】醇羟基脱保护
已经有7人回复
【求助】求助保护酚羟基
已经有14人回复
【求助】求教TBDPSCl(或其他)的羟基保护反应
已经有26人回复
jytryh
木虫 (正式写手)
- 应助: 192 (高中生)
- 金币: 3959.3
- 红花: 16
- 帖子: 579
- 在线: 191.3小时
- 虫号: 570484
- 注册: 2008-06-07
- 性别: GG
- 专业: 中药鉴定

2楼2014-09-03 09:30:45














回复此楼