版块导航
正在加载中...
客户端APP下载
论文辅导
申博辅导
登录
注册
帖子
帖子
用户
本版
应《网络安全法》要求,自2017年10月1日起,未进行实名认证将不得使用互联网跟帖服务。为保障您的帐号能够正常使用,请尽快对帐号进行手机号验证,感谢您的理解与支持!
24小时热门版块排行榜
>
论坛更新日志
(4497)
>
虫友互识
(567)
>
文献求助
(531)
>
导师招生
(311)
>
招聘信息布告栏
(224)
>
考博
(158)
>
博后之家
(104)
>
基金申请
(101)
>
硕博家园
(93)
>
休闲灌水
(83)
>
论文投稿
(73)
>
教师之家
(71)
>
绿色求助(高悬赏)
(65)
>
找工作
(57)
>
攻关文献(高奖励)
(32)
>
考研
(31)
小木虫论坛-学术科研互动平台
»
计算模拟区
»
量子化学
»
Gaussian
»
烯炔类化合物计算ECD确定绝对构型。
3
1/1
返回列表
查看: 701 | 回复: 2
只看楼主
@他人
存档
新回复提醒
(忽略)
收藏
在APP中查看
xzhfood
荣誉版主
(著名写手)
应助: 5
(幼儿园)
贵宾: 22.859
金币: 712.2
散金: 31
红花: 23
帖子: 1820
在线: 837小时
虫号: 6596
注册: 2003-04-11
专业: 食品科学基础
[
求助
]
烯炔类化合物计算ECD确定绝对构型。
已有1人参与
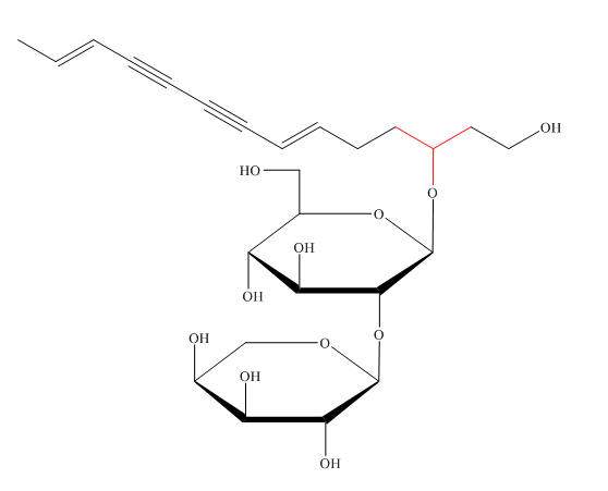
各位计算高手,看看附件的烯炔化合物能否用高斯计算ECD确定手性碳构型,谢谢。
Snap1.jpg
回复此楼
» 收录本帖的淘帖专辑推荐
计算
» 猜你喜欢
华南师范大学广州市光谱分析与功能探针重点实验室诚招青年英才和博士后岗位研究人员
已经有11人回复
华南师范大学广州市光谱分析与功能探针重点实验室诚招青年英才和博士后岗位研究人员
已经有10人回复
物理化学论文润色/翻译怎么收费?
已经有229人回复
200年来人们一直无法破解的难题: 气液临界点状态方程
已经有7人回复
关于引力延迟下双星系统角动量不守恒的疑惑---求高手解答!
已经有10人回复
求标准卡片Cu0.4In0.4Zn1.2S2 PDF#32-0340
已经有2人回复
请问四氢呋喃溶解的聚合物用甲醇沉淀时,如何使沉淀过程加速?
已经有2人回复
量子点电致发光器件(QLED):蓝光量子点(QDs)和纳米氧化锌电子传输材料
已经有0人回复
需要一个圆偏振光诱导化学反应,请问使用圆偏振光作为光源,应该需要哪些设备搭建
已经有0人回复
» 本主题相关价值贴推荐,对您同样有帮助:
弱问下,粉末衍射能确定手性单体化合物的绝对构型吗?
已经有11人回复
培养单晶过程中发生了外消旋化,如何确定原本没发生外消旋化的化合物的构型?
已经有12人回复
关于手性氢(R/S)的核磁位移
已经有8人回复
四五个新的聚酮和同类的五个已知化合物能投怎么样的文章,有绝对构型
已经有5人回复
比较比旋光度确定拆分单一构型化合物光学纯度
已经有3人回复
绝对构型的确定
已经有11人回复
请问各位亲们 你们的化合物绝对构型 是怎么确定的 ??
已经有10人回复
判断糖类化合物绝对构型的时候,为什么可以用碳氢偶合常数来判断?
已经有7人回复
怎么判断该环状化合物的的R,S构型
已经有32人回复
如何解析CD谱,向大侠们求教啊!!很急很急
已经有9人回复
求助啊!mosher法确定化合物的绝对构型
已经有4人回复
大家看看用mosher酸能确定这个化合物的绝对构型吗?
已经有16人回复
请教一下这个化合物的构型标记是R还是S?
已经有10人回复
(北京)哪里能做CD计算,确定化合物绝对构型
已经有9人回复
是否能通过已知化合物的圆二色散谱确定未知化合物的绝对构型?
已经有4人回复
两个化合物的绝对够构型确定(附相对构型和CD图)
已经有8人回复
求解-分到新的化合物只知道平面结构,可以不测绝对构型直接发表吗?
已经有3人回复
帮忙找几篇关于手性醇类化合物构型翻转的英文综述类文献
已经有4人回复
求助用CD谱解析一个木脂素类化合物的绝对构型
已经有7人回复
关于HMBC谱可否判断双键化合物的Z/E构型
已经有8人回复
【求助】关于含2个手性中心,不知绝对构型的化合物对映体表述方法!
已经有4人回复
手性化合物绝对构型的确定方法?
已经有7人回复
【讨论】含溴手性化合物单晶衍射一定能确定绝对构型吗
已经有5人回复
【讨论】如果是一个手性化合物,能够通过二维核磁确定绝对构型吗?
已经有20人回复
【求助】请问用什么软件模拟一个化合物并能优化构型计算出分子大小
已经有6人回复
1楼
2014-08-25 10:23:15
已阅
回复此楼
关注TA
给TA发消息
送TA红花
TA的回帖
czyzsu
专家顾问
(文坛精英)
专家经验: +3695
应助: 3304
(副教授)
贵宾: 1
金币: 306749
散金: 2465
红花: 684
帖子: 28422
在线: 7376.1小时
虫号: 150213
注册: 2005-12-29
专业: 化学生物学与生物有机化学
管辖:
有机交流
【答案】应助回帖
★ ★ ★ ★ ★ ★ ★ ★ ★ ★
感谢参与,应助指数 +1
xzhfood: 金币+10,
★★★
很有帮助
2014-08-25 16:04:20
看你的分子是一个柔性分子,构象较多,ECD的计算量很大,估计很耗时。是否尝试水解后进行衍生,用Mosher法来确定其绝对构型。
赞
一下
回复此楼
高级回复
2楼
2014-08-25 11:18:31
已阅
回复此楼
关注TA
给TA发消息
送TA红花
TA的回帖
xzhfood
荣誉版主
(著名写手)
应助: 5
(幼儿园)
贵宾: 22.859
金币: 712.2
散金: 31
红花: 23
帖子: 1820
在线: 837小时
虫号: 6596
注册: 2003-04-11
专业: 食品科学基础
引用回帖:
2楼
:
Originally posted by
czyzsu
at 2014-08-25 11:18:31
看你的分子是一个柔性分子,构象较多,ECD的计算量很大,估计很耗时。是否尝试水解后进行衍生,用Mosher法来确定其绝对构型。
也考虑水解后测CD,或者mosher,但是担心水解后化合物分解。
赞
一下
回复此楼
3楼
2014-08-25 16:04:05
已阅
回复此楼
关注TA
给TA发消息
送TA红花
TA的回帖
相关版块跳转
第一性原理
量子化学
计算模拟
分子模拟
仿真模拟
程序语言
我要订阅楼主
xzhfood
的主题更新
3
1/1
返回列表
如果回帖内容含有宣传信息,请如实选中。否则帐号将被全论坛禁言
普通表情
龙
兔
虎
猫
百度网盘
|
360云盘
|
千易网盘
|
华为网盘
在新窗口页面中打开自己喜欢的网盘网站,将文件上传后,然后将下载链接复制到帖子内容中就可以了。
信息提示
关闭
请填处理意见
关闭
确定