| 查看: 3486 | 回复: 14 | ||
zhubaobaoxmc铜虫 (初入文坛)
|
[求助]
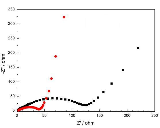
求助!求助!求助!交流阻抗分析,谁能帮我读一下电阻是多少啊!万分感谢! 已有4人参与
|
|
电化学水处理 |
» 猜你喜欢
湖南农业大学能源材料创新团队招收2025化学专业研究生(学硕)调剂
已经有0人回复
2026年西华大学材料学院-材料近净成形与表面技术研究团队-招收调剂研究生
已经有9人回复
分析化学论文润色/翻译怎么收费?
已经有254人回复
调剂信息
已经有0人回复
华南理工0703化学,总分336求调剂
已经有11人回复
河北农大生物与医药专业招收调剂,名额充足
已经有0人回复
齐鲁工业大学 国家重点实验室-新能源、锂离子电池、材料、化学方向
已经有0人回复
一志愿前4位代码0703均可报名-河北大学分析化学专业招收调剂考生
已经有57人回复
★★爆★★0860生物与医药调剂考生看过来,河北大学化学与材料科学学院
已经有85人回复
杰青/长江团队招收调剂
已经有0人回复
中南林业科技大学罗勇锋教授团队2026年招收材料类调剂研究生
已经有0人回复
» 本主题相关价值贴推荐,对您同样有帮助:
求助怎么用电化学工作站交流阻抗测量固体的电阻 急 急 急。。。
已经有10人回复
关于交流阻抗拟合得到各部分阻值的疑问!求教!谢谢~
已经有14人回复
关于阻抗拟合电路中电阻值的求法?
已经有4人回复
请大侠帮忙分析交流阻抗图?怎么看出来法拉第电阻是多少?电荷传输电阻是多少啊?
已经有4人回复
跪求用交流阻抗法测试聚合物电解质膜的本体电阻
已经有12人回复
求解交流阻抗,从Nyquist图怎么看电阻大小
已经有7人回复
【求助】Zsimpwin 软件拟和出的电阻R,常相位元件Q和warburg阻抗W的单位是什么?
已经有29人回复
binbinitaly
铁杆木虫 (著名写手)
- 应助: 391 (硕士)
- 金币: 6153.6
- 散金: 3
- 红花: 38
- 帖子: 1403
- 在线: 237.4小时
- 虫号: 1086877
- 注册: 2010-09-01
- 性别: GG
- 专业: 金属材料的磨损与磨蚀

3楼2014-08-25 10:37:53
12楼2014-08-26 15:55:53
xiaobo286
木虫 (著名写手)
- ECEPI: 7
- 应助: 19 (小学生)
- 金币: 4614.9
- 散金: 2305
- 红花: 7
- 沙发: 1
- 帖子: 1793
- 在线: 902小时
- 虫号: 808323
- 注册: 2009-07-13
- 性别: GG
- 专业: 金属材料表面科学与工程
2楼2014-08-25 10:37:32
zhubaobaoxmc
铜虫 (初入文坛)
- 应助: 0 (幼儿园)
- 金币: 134.4
- 帖子: 26
- 在线: 22.4小时
- 虫号: 2469107
- 注册: 2013-05-17
- 性别: MM
- 专业: 无机化工
4楼2014-08-25 11:14:00
zhubaobaoxmc
铜虫 (初入文坛)
- 应助: 0 (幼儿园)
- 金币: 134.4
- 帖子: 26
- 在线: 22.4小时
- 虫号: 2469107
- 注册: 2013-05-17
- 性别: MM
- 专业: 无机化工
5楼2014-08-25 11:15:53
binbinitaly
铁杆木虫 (著名写手)
- 应助: 391 (硕士)
- 金币: 6153.6
- 散金: 3
- 红花: 38
- 帖子: 1403
- 在线: 237.4小时
- 虫号: 1086877
- 注册: 2010-09-01
- 性别: GG
- 专业: 金属材料的磨损与磨蚀

6楼2014-08-25 13:13:51
zhubaobaoxmc
铜虫 (初入文坛)
- 应助: 0 (幼儿园)
- 金币: 134.4
- 帖子: 26
- 在线: 22.4小时
- 虫号: 2469107
- 注册: 2013-05-17
- 性别: MM
- 专业: 无机化工
7楼2014-08-25 14:48:06
8楼2014-08-26 02:16:18
huhuboy
至尊木虫 (正式写手)
- 应助: 59 (初中生)
- 金币: 14960.6
- 散金: 79
- 红花: 13
- 沙发: 18
- 帖子: 865
- 在线: 186.2小时
- 虫号: 622451
- 注册: 2008-10-10
- 专业: 材料冶金过程工程
9楼2014-08-26 09:35:25
zhubaobaoxmc
铜虫 (初入文坛)
- 应助: 0 (幼儿园)
- 金币: 134.4
- 帖子: 26
- 在线: 22.4小时
- 虫号: 2469107
- 注册: 2013-05-17
- 性别: MM
- 专业: 无机化工
10楼2014-08-26 09:51:12
















回复此楼